liuzhiming69的个人博客分享 http://blog.sciencenet.cn/u/liuzhiming69

博文

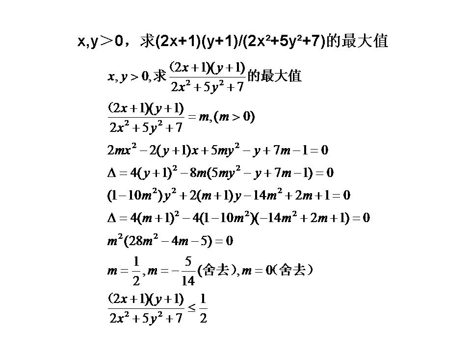
x,y>0,求(2x+1)(y+1)/(2x²+5y²+7)的最大值

已有 385 次阅读 2026-3-18 06:41 |系统分类:科研笔记

演示文稿1.jpg



https://blog.sciencenet.cn/blog-3556836-1526201.html

上一篇:如果a>0, b>0, 求(ab+2b)/(a^2+b^2+1)的最大值
下一篇:0<x<1/2,求1/x+x+2x^2/(1-2x)的最小值
收藏 IP: 121.28.181.*| 热度|

0

该博文允许注册用户评论 请点击登录 评论 (0 个评论)

数据加载中...

Archiver|手机版|科学网 ( 京ICP备07017567号-12 )

GMT+8, 2026-4-16 05:34

Powered by ScienceNet.cn

Copyright © 2007- 中国科学报社

返回顶部