liuzhiming69的个人博客分享 http://blog.sciencenet.cn/u/liuzhiming69

博文

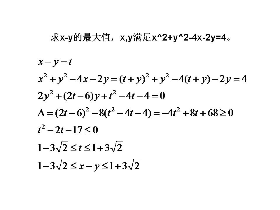
求x-y的最大值,x,y满足x^2+y^2-4x-2y=4。

已有 416 次阅读 2026-1-8 07:44 |系统分类:科研笔记

演示文稿1.jpg



https://blog.sciencenet.cn/blog-3556836-1517540.html

上一篇:1/(x+1)/sqrt(x^2+x+1)的积分
下一篇:圆周率pi的计算
收藏 IP: 121.28.181.*| 热度|

1 王涛

该博文允许注册用户评论 请点击登录 评论 (0 个评论)

数据加载中...

Archiver|手机版|科学网 ( 京ICP备07017567号-12 )

GMT+8, 2026-3-16 09:31

Powered by ScienceNet.cn

Copyright © 2007- 中国科学报社

返回顶部