liuzhiming69的个人博客分享 http://blog.sciencenet.cn/u/liuzhiming69

博文

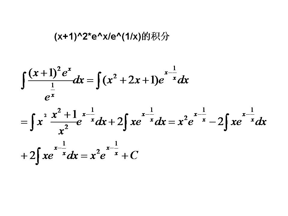
(x+1)^2*e^x/e^(1/x)的积分

已有 634 次阅读 2026-1-4 07:08 |系统分类:科研笔记

演示文稿1.jpg



https://blog.sciencenet.cn/blog-3556836-1516996.html

上一篇:解微分方程:y’=y/(y^3+x)
下一篇:1/(x+1)/sqrt(x^2+x+1)的积分
收藏 IP: 121.28.181.*| 热度|

1 王涛

该博文允许注册用户评论 请点击登录 评论 (0 个评论)

数据加载中...

Archiver|手机版|科学网 ( 京ICP备07017567号-12 )

GMT+8, 2026-3-16 05:41

Powered by ScienceNet.cn

Copyright © 2007- 中国科学报社

返回顶部