liuzhiming69的个人博客分享 http://blog.sciencenet.cn/u/liuzhiming69

博文

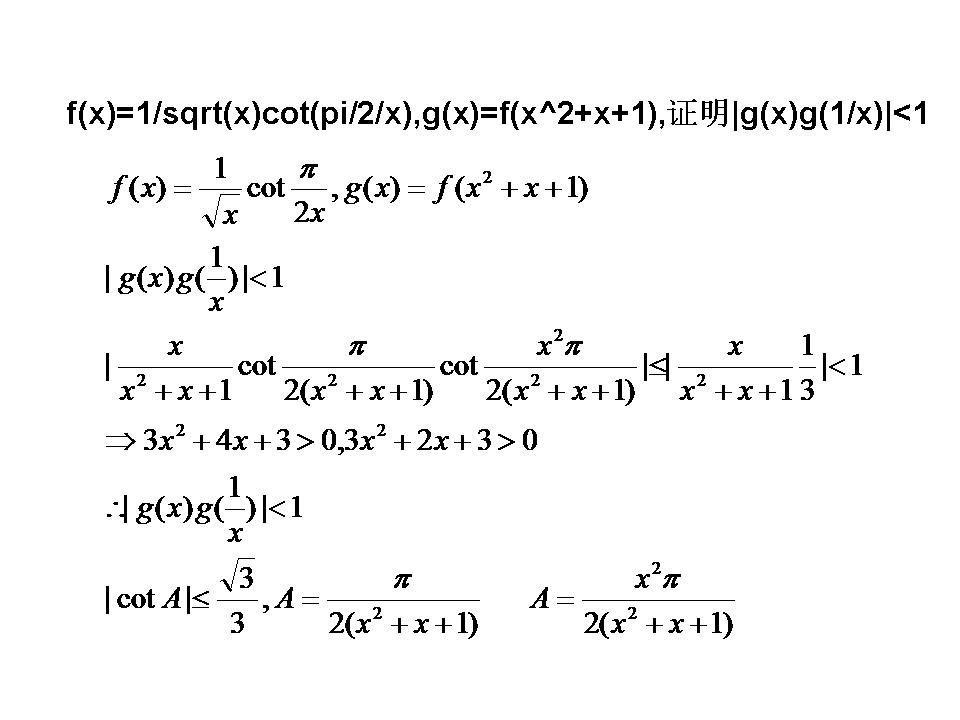
f(x)=1/sqrt(x)cot(pi/2/x),g(x)=f(x^2+x+1),证明|g(x)g(1/x)|<1

已有 71 次阅读 2025-12-30 06:40 |系统分类:科研笔记

演示文稿1.jpg



https://blog.sciencenet.cn/blog-3556836-1516355.html

上一篇:求(1+x-1/x)e^(x+1/x)的积分
下一篇:f(x)=1/sqrt(x)cot(pi/2/x),g(x)=f(x^2+x+1),证明|g(x)g(1/x)|<1之一
收藏 IP: 121.28.181.*| 热度|

0

该博文允许注册用户评论 请点击登录 评论 (1 个评论)

数据加载中...
扫一扫,分享此博文

Archiver|手机版|科学网 ( 京ICP备07017567号-12 )

GMT+8, 2025-12-30 10:37

Powered by ScienceNet.cn

Copyright © 2007- 中国科学报社

返回顶部