|
原文出自Materials and Solidification (材料与凝固)期刊
Cite this article:
Qi D, Zhang A, Zhang L, et al. Correlating melt structure, viscosity, and Ca content in Mg–Ca alloys via molecular dynamics. Materials and Solidification, 2026, https://doi.org/10.26599/MAS.2026.9580018
文章DOI:10.26599/MAS.2026.9580018
1、导读
本文采用分子动力学模拟,系统研究了镁钙合金熔体微观结构与粘度的内在关系。低钙含量(<4 wt.%)时,熔体结构有序度随钙增加呈振荡变化;高钙含量(>4 wt.%)时,熔体结构有序度与稳定性呈平缓提升趋势。熔体短程有序结构始终以二十面体(ICO)型键合对为核心主导构型。随钙含量增加,原子扩散迁移能力持续降低,熔体粘度整体上升。本研究从原子尺度建立了成分-结构-性能的构效关系,阐明了钙元素调控镁合金熔体流动性的微观机制,为镁合金熔体流动性的调控提供了理论支撑。
2、研究背景
镁合金作为重要轻质材料,其铸造性能受熔体流动性直接影响,而粘度是调控熔体流动行为的核心物性参数。钙作为低成本、高效的合金化元素,可显著改善镁合金抗氧化性与铸造性能,但其通过调控熔体粘度与微观结构影响流动性的内在机制尚不明确。受镁合金熔体高温易氧化、易挥发特性限制,传统实验手段难以精准表征熔体粘度及原子尺度结构特征。分子动力学模拟为解析熔体微观结构、建立结构与宏观性能关联提供了有效手段。据此,本研究采用分子动力学方法,系统探究钙含量对镁合金熔体结构与粘度的调控机制,为镁合金成分设计及铸造工艺优化提供理论依据。
3、文章亮点
(1)在低Ca含量(<4 wt.%)时,熔体结构有序度随Ca含量增加呈振荡变化;当Ca含量超过4 wt.%后,结构有序度平稳增强,稳定性显著提高。该4 wt.%的临界阈值揭示了Ca元素对熔体短程有序结构的非线性调控规律。
(2)结合多尺度结构表征与动力学模拟,明确将特定Ca含量(1、6、8 wt.%)下出现的局部结构重构,与熔体粘度演化过程中的三个关键拐点直接关联,对应着可通过降低粘度、改善熔体流动性的潜在成分窗口。
4、研究结果及结论
本研究通过分子动力学模拟系统揭示了Mg-Ca合金熔体结构、粘度与钙含量的内在关联。熔体结构有序度受Ca含量调控存在4 wt.%阈值:低于此值,结构有序度振荡波动,稳定性差;高于此值,结构有序度平稳增强,稳定性显著提高,且ICO型键合对始终主导短程有序结构。熔体粘度随Ca含量增加总体呈上升趋势,但在1、6、8 wt.%处出现拐点,与局部结构重组直接相关。熔体粘度与原子扩散能力的变化与结构演化高度协同:低Ca含量下,结构剧烈波动导致粘度变化复杂;高Ca含量下,键合对类型稳定,粘度增加主要受熔体局域空间构型演变主导。

图 1温度1000K下不同Ca含量的镁合金熔体的局部对分布函数及总对分布函数:(a) Total PDF gTotal(r), (b) Mg-Mg partial PDF gMg-Mg(r), (c) Mg-Ca partial PDF gMg-Ca(r), (d) Ca-Ca partial PDF gCa-Ca(r)

图 2温度1000K下不同Ca含量的镁合金熔体的Voronoi指数:(a) 钙含量分别为0.1、0.5、1、1.5、2、2.5、3、3.5、4、6、8、10 wt.% 的液态Mg-Ca合金体系中Voronoi指数的分布;(b) 各Voronoi指数随Ca含量增加的变化规律。

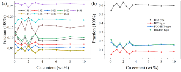
图 3液态Mg-Ca合金体系在不同钙含量下(1000 K)的键对分析:(a) 典型H-A键对的比例;(b) 二十面体型(ICO型,包括1551、1541和1431)、体心立方型(BCC型,包括1441和1661)、面心立方/六方密堆型(FCC/HCP型,包括1421和1422)以及随机型结构的比例。

图 4不同钙含量Mg-Ca合金熔体在1000 K下的粘度曲线。
5、作者及研究团队简介

重庆大学潘复生院士与蒋斌教授领导的研究梯队以节能减排和低碳环保为宗旨,以加快国内工业企业绿色低碳转型为目标,积极响应碳达峰碳中和的政策,发展轻合金材料在汽车、航空领域的轻量化应用,致力于开发低成本高性能镁合金材料,长期从事新型镁合金材料及先进制备加工技术研究,大力推动镁合金新材料开发及其在汽车、轨道交通、电子通讯、航空航天、关键装备等领域的规模化应用。
《材料与凝固(英文)》(Materials and Solidification)期刊简介
《材料与凝固(英文)》由清华大学出版社出版,西北工业大学凝固技术全国重点实验室提供学术支持,实验室李金山教授担任主编,王俊杰教授担任执行主编。期刊聚焦于凝固理论和凝固技术方面的前沿研究成果,发表金属、半导体、有机、无机和聚合物材料块状或薄膜凝固理论和凝固技术的前沿研究成果,包括但不限于,凝固加工相关的铸造、焊接和增材制造,还涉及电、超声、磁、微重力等多物理场中的非平衡凝固现象。
期刊主页:https://www.sciopen.com/journal/3078-7955
投稿地址:http://mc03.manuscriptcentral.com/msolid
期刊邮箱:matersolid@tup.tsinghua.edu.cn; Mater&Solid@nwpu.edu.cn

Archiver|手机版|科学网 ( 京ICP备07017567号-12 )
GMT+8, 2026-4-17 06:07
Powered by ScienceNet.cn
Copyright © 2007- 中国科学报社