||
研究背景
在氧化物紫外光电晶体管研究中,不同工艺条件往往会引起器件电学性能和光响应的明显差异。这些差异通常受到界面状态、缺陷态和光吸收等多种因素共同影响,仅凭实验结果难以进一步区分其具体作用。因此,引入与实验条件对应的TCAD模型,并结合实验响应曲线拟合提取关键参数,有助于分析器件性能差异的来源。
中国科学院宁波材料技术与工程研究所梁凌燕研究员团队在 Coatings 发表了相关研究。该工作以正交实验设计为基础,结合TCAD瞬态响应拟合、参数提取以及吸收分析,对a-GaOx紫外光电晶体管在不同工艺条件下的响应差异来源进行了分析。
研究主要内容
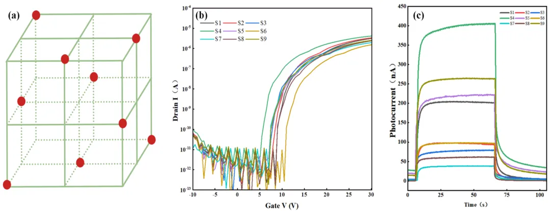
研究首先采用三因素三水平正交设计,系统调控溅射功率、Ar/O2流量比和薄膜厚度,并测试九组器件的转移特性和254 nm瞬态响应。结果表明,不同工艺组合下器件的响应度和动态响应过程存在显著差异 (图1)。在此基础上,研究进一步选取高响应代表样品与低响应代表样品开展TCAD分析,在相同器件结构、偏置条件和光照条件下,对实验瞬态响应曲线进行拟合。通过拟合过程,提取出界面固定电荷密度Qf以及带尾态、深能级缺陷态等关键参数 (图2)。
进一步分析了器件内部的光子吸收分布,并将椭偏测试得到的吸收系数变化趋势与仿真结果进行对比,发现二者在吸收趋势上保持一致,从而验证了该仿真分析方法的可靠性 (图3)。研究从缺陷态差异和吸收差异两个方面解释了不同样品响应度变化的来源。
研究亮点
(1) 采用三因素三水平正交设计,在较少实验次数下实现对溅射功率、Ar/O2流量比和薄膜厚度的多因素筛选,提高了工艺优化效率。
(2) 结合TCAD瞬态响应拟合,对界面固定电荷密度及带尾态、深能级缺陷态等参数进行了定量提取,为分析工艺引起的性能变化提供了依据。
(3) 通过TCAD与椭偏测试的交叉验证,提高了模型分析结果的可靠性,为后续器件工艺优化提供了参考。
(4) 文章将正交实验设计、瞬态响应拟合和吸收分析结合起来,形成了实验与仿真相结合的分析思路。
图文赏析

图1. 九组器件的转移特性及瞬态响应对比图,用于展示不同工艺条件下器件性能的差异。

图2. 代表样品的实验与TCAD瞬态响应拟合对比及对应的缺陷态分布图,用于体现模型对实验结果的拟合效果以及缺陷态分布的差异。

图3. 代表样品的光子吸收分布及椭偏测试得到的吸收系数曲线,用于展示不同样品在吸收行为上的差异,并与仿真结果进行对比验证。
研究成果
(1) 通过三因素三水平正交设计,比较了溅射功率、Ar/O2流量比和薄膜厚度对a-GaOx紫外光电晶体管性能的影响,并确定了接近最优的工艺窗口。
(2) TCAD瞬态响应拟合结果表明,器件响应度差异主要与界面固定电荷密度以及带尾态、深能级缺陷态的变化有关。
(3) 椭偏测试得到的吸收系数变化趋势与TCAD仿真结果一致,验证了仿真分析的可靠性,并支持从吸收差异角度解释器件响应度变化。
研究总结
本研究结合实验与TCAD仿真,对a-GaOx紫外光电晶体管在不同工艺条件下的性能差异进行了分析。通过正交设计、瞬态响应拟合以及对光子吸收分布和吸收系数的对比,研究结果表明,界面固定电荷、带尾态和深能级缺陷态的变化以及吸收差异都会影响器件的光响应。文章建立了实验与仿真相结合的分析方法,可为后续氧化物光电器件的工艺优化和机理研究提供参考。
作者团队介绍
第一作者
成依婷
中国科学院宁波材料技术与工程研究所硕士研究生。主要从事氧化物薄膜晶体管光电器件与TCAD仿真方面的研究。
通讯作者
任俊彦
博士、中国科学院宁波材料技术与工程研究所助理研究员。博士就读于中国科学院大学,近五年在 Small、ACS Applied Materials & Interfaces、Applied Physics Letters 等高水平国际期刊上发表SCI论文16篇,研究方向为显示、传感和逻辑电路领域的氧化物和氮氧化物薄膜晶体管研究。
梁凌燕
博士、中国科学院宁波材料技术与工程研究所研究员、博士生导师。主持了国家重点研发计划、国家自然科学面上和青年基金、浙江省自然科学基金、宁波市重大攻关、宁波市自然科学基金重点项目以及企业委托技术开发等多项项目。发表SCI论文100余篇 (第一/通讯作者70余篇),累计被SCI引用4500余次,H-index为39。参编英文专著1部。申请中国发明专利30余项和PCT专利2项,授权15项。主要研究领域为微电子、光电子、生物电子学,涉及材料体系包括非晶、纳米晶氧化物和氮氧化物半导体。应用领域包括用于平板显示驱动/开关的高迁高稳薄膜晶体管阵列,以及用于光/温度/生物等信息检测或生物突触仿生的薄膜晶体管及逻辑电路。
原文链接:https://www.mdpi.com/2079-6412/16/3/308
Coatings 期刊介绍
主编:Dr. Emerson Coy, Adam Mickiewicz University in Poznań, Poland; Prof. Dr. Wei Pan, Tsinghua University, China
期刊专注于发表涂层、表面、界面及薄-厚膜领域的研究成果。目前,期刊已被Scopus、ProQuest、SCIE (Web of Science)、Ei Compendex等数据库收录。
2024 Impact Factor:2.8
2024 CiteScore:5.4
Time to First Decision:13 Days
Time to Publication:2.9 Days
期刊主页:https://www.mdpi.com/journal/coatings

Archiver|手机版|科学网 ( 京ICP备07017567号-12 )
GMT+8, 2026-5-17 09:38
Powered by ScienceNet.cn
Copyright © 2007- 中国科学报社