||
肝脏疾病发病率上升已成为全球公共卫生关注点。环境污染物如全氟辛酸与全氟辛烷磺酸 (统称全氟化物) 以及铅、汞、镉等重金属因环境持久性和生物累积性,被认为可能损害肝功能。现实暴露通常为多种污染物的共存,单一物质研究难以反映真实风险。此外,慢性应激引起的生理累积损耗 (allostatic load,或译为慢性应激生理负荷) 可能改变个体对环境毒物的脆弱性。本研究基于美国国家健康与营养调查 (NHANES 2017–2018) 数据,旨在评估全氟辛酸 (PFOA)、全氟辛烷磺酸 (PFOS)、铅、汞、镉与生理累积损耗的单独及联合暴露与肝功能指标及非酒精性脂肪肝可能性 (美国脂肪肝指数) 之间的关系。
研究过程与结果
文章以NHANES 2017–2018的代表性人群 (n ≈ 9254) 为样本,检测血清中PFOA、PFOS及金属 (铅、汞、镉) 浓度,构建生理累积损耗评分 (基于血压、血脂、BMI、白蛋白、肌酐清除率、糖化血红蛋白、C反应蛋白等指标的四分位高风险计分,得分范围0–10),并以AST、ALT、碱性磷酸酶、总胆红素及美国脂肪肝指数 (US-FLI) 作为肝健康终点。统计分析包括描述性统计、Spearman相关、线性回归 (对年龄和酒精消费做基础调整) 以及用于多重暴露交互的贝叶斯核机器回归方法 (BKMR,模型中进一步调整体重指数、性别、年龄、种族、酒精与吸烟等协变量)。描述性结果显示性别差异:男性血清PFOA、PFOS与铅高于女性,而女性镉水平较高;汞在两性间近似相等。Spearman相关提示金属间及全氟和多氟烷基物质 (PFAS) 间存在中等相关性,而金属与PFAS之间相关较弱或不一致。

关键研究变量的Spearman相关分析
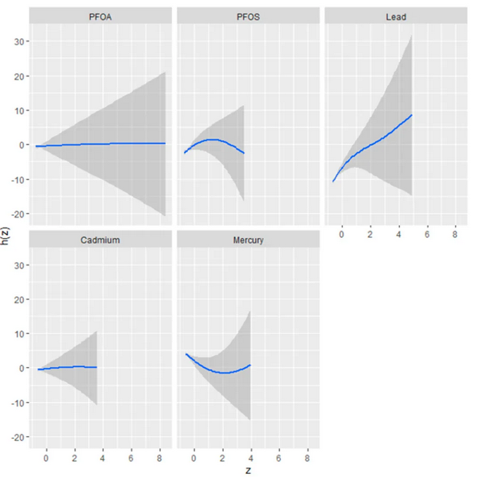
在线性回归分析中,PFOA、铅与镉与AST呈显著关联 (p < 0.05);铅与镉与ALT显著相关;汞与碱性磷酸酶呈显著关联;总胆红素则与铅、镉及生理累积损耗显著相关。即金属项在常见肝功能生化指标中表现出较强的影响信号,而PFOS在这些单变量回归中并非对所有酶指标均显著。BKMR分析揭示更复杂的联合效应:后验纳入概率 (PIP) 显示铅、汞与PFOS对US-FLI的影响证据最强 (铅PIP = 1.000,汞 ≈ 0.747,PFOS ≈ 0.584,镉 ≈ 0.342,PFOA ≈ 0.193),表明在多污染物混合模型中铅、汞与PFOS为主要影响因子。单变量暴露–响应曲线显示:PFOA对脂肪肝指数反应相对平缓;PFOS表现为非线性趋势;铅呈正向剂量依赖关系;镉与汞呈U型或倒U型的非线性效应。二元交互可视化提示若干相互作用模式:汞与镉同时升高时可能产生协同效应 (共同提高脂肪肝指数),而镉与PFOS间在部分区间显示拮抗特征;PFOS与铅的组合在高浓度下似乎放大风险;铅与PFOA组合未显示一致性模式。对整体混合暴露风险的总结显示,当各污染物暴露超过中位数后 (尤其在75百分位及以上) ,对美国脂肪肝指数的联合估计值显著上升,高暴露人群的总体风险加剧。文章同时指出该研究为横断面设计,限制了因果推断的能力。

单变量暴露-反应函数及95%置信区间 (深灰色) 展示其他金属/全氟烷基物质暴露固定在中位数水平时,单一金属/全氟烷基物质暴露的关联

不同暴露 (多重混合物) 对结果的整体健康影响总结取决于不同的百分位数 (从第25百分位到第75百分位)
研究总结
基于NHANES 2017–2018数据,本研究系统评估了PFOA、PFOS、铅、汞、镉与生理累积损耗对肝功能生化指标及美国脂肪肝指数的单独与联合影响。结果表明:金属 (尤其是铅) 与PFOS在多污染物框架下对脂肪肝风险与肝功能标志物具有显著贡献,汞与镉呈现复杂的非线性效应,并在特定组合下出现协同或拮抗作用;生理累积损耗与总胆红素的关联提示慢性应激生理负荷可能参与系统性影响路径。研究强调在评估肝脏健康风险时应考虑真实世界的多重共暴露情形,而非仅聚焦单一化合物;对此类混合暴露的公共卫生干预应优先关注高暴露人群与关键污染物 (如铅、PFOS、汞)。鉴于本研究的横断面限制,文章建议通过纵向队列与机制研究进一步确认暴露—疾病时间序列并为精确干预提供证据。
阅读英文原文:https://www.mdpi.com/2769488
JoX 期刊介绍
主编:François Gagné, Environment and Climate Change Canada, Canada
期刊主题涵盖异型生物质毒素、异型生物质药理学、环境有害异物、内分泌干扰物、氧化应激、抗生素、生物标记物、纳米粒子、塑料微粒、农药、除草剂。期刊现已被 Scopus, ESCI (Web of Science), PubMed 等数据库收录。
2024 Impact Factor:4.4
2024 CiteScore:6.0
Time to First Decision:27.6 Days
Acceptance to Publication:2.9 Days


Archiver|手机版|科学网 ( 京ICP备07017567号-12 )
GMT+8, 2026-5-17 18:19
Powered by ScienceNet.cn
Copyright © 2007- 中国科学报社