||
ICM—以应用为导向的高水平创新研究


文章导读
随着光刻工艺发展,化学放大型光刻胶(CAR)凭借其核心组分光致产酸剂(PAGs)的光解产酸与催化链反应能力,显著提升了灵敏度与分辨率。PAG主要分为离子型和非离子型,其中基于萘酰亚胺骨架的非离子磺酸酯PAGs因高稳定性和高效性受关注,但其骨架上官能团(如给电子/吸电子基团)与产酸量子产率(Φa)的构效关系尚未系统研究,且其在亚30 nm先进节点中的应用探索不足,成为下一代高性能PAG设计的关键挑战与机遇。
近期,上海大学张建华、辛涵申教授团队设计并合成了一系列基于萘酰亚胺磺酸盐骨架的新型非离子型PAGs。该研究系统阐明了分子结构与光物理性质、Φa及最终光刻性能之间的构效关系,并成功在电子束光刻中实现了28 nm的分辨率,为下一代高端芯片制造提供了重要的材料基础。

图文摘要:基于萘酰亚胺磺酸盐的化学放大型光刻胶及光刻结果
上述成果发表在Industrial Chemistry & Materials,题为:Naphthalimide-based nonionic sulfonate photoacid generators: structure–property relationship and sub-30 nm resolution lithography。欢迎扫描下方二维码或者点击下方链接免费阅读、下载!
扫二维码|查看原文

https://doi.org/10.1039/D5IM00286A
本文亮点
★ 设计合成了一系列基于萘酰亚胺磺酸盐骨架的非离子型PAGs;
★ 通过详尽的实验与理论计算(DFT)发现,最优分子PAG 1d因其最佳的给体-π-受体(D-π-A)构型实现了电子效应协同,从而使其产酸量子产率(Φa)高达17.6%;
★ 将所制备的PAG应用于光刻胶后,其在i-line(365 nm)、深紫外(254 nm)及电子束光刻(EBL)中均展现出优异的图案化能力,特别是基于PAG 1d的光刻胶(PR-1d)在电子束光刻中实现了28 nm的高分辨率,证明了其在亚30纳米节点光刻中的巨大应用潜力。
图文解读
1. 基于萘酰亚胺磺酸盐骨架的非离子型PAGs的合成
以商业可得的4-溴-1,8-萘二甲酸酐和取代苯硫醇为起始原料,高效合成了目标非离子型PAGs 1a-1e,该路线总收率高达83.6-91.2%。

图1. PAGs 1a-1e的合成示意图
2. 理化性质表征
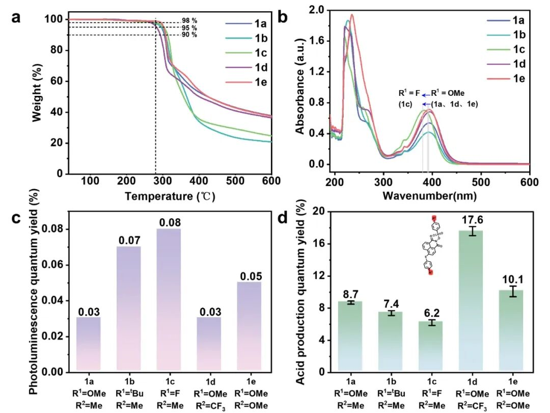
热性质测试表明PAGs 1a-1e的分解温度在280 ℃至305 ℃之间,完全满足光刻实际应用要求。通过紫外可见光谱分析PAGs,可以确定最大吸收波长和合适的光源范围。结果表明PAGs 1a-1e在220 nm附近表现出强吸收带,归因于其分子结构中萘酰亚胺单元的π-π*跃迁。此外,在390 nm附近观察到显著吸收,这是给电子苯硫基单元与吸电子萘酰亚胺单元之间分子内电荷转移(ICT)的特征。该系列PAGs在254 nm激发下均表现出微弱荧光,其极低的荧光量子产率(Φp ≤ 0.08%)有效抑制了辐射能量耗散,从而促进了化学键断裂,有利于提高Φa。通过调控萘酰亚胺磺酸盐骨架取代基(R1和R2)的给电子/吸电子能力,显著影响PAGs的Φa。PAG 1d(R1=OMe, R2=CF3)凭借最优D-π-A系统,Φa高达17.6%,远超其他变体(如1a为8.7%),证实给体增强光敏性、受体促进酸释放的协同效应,为高性能PAGs的理性设计提供了明确构效关系基础。

图2. PAGs 1a-1e的(a)TGA曲线,(b)紫外吸收光谱,(c)Φp和(d)Φa
3. 理论计算
通过密度泛函理论(DFT)计算系统分析了PAGs 1a-1e的分子轨道能级与光物理性质。前线分子轨道(FMO)分析表明,LUMO主要定域于萘酰亚胺核心,HOMO则集中于苯硫基单元。取代基调控实验显示:苯硫基上的取代基(R1)主要影响HOMO能级,而苯磺酸盐单元取代基(R2)通过诱导效应显著调控LUMO能级。计算证实HOMO-LUMO能隙(ΔE)与实验测得的Φa呈负相关,其中PAG 1d因ΔE最窄(3.18 eV)且N-O键长最长(1.3747 Å),其Φa高达17.6%。激发能计算顺序(1d < 1e < 1a < 1b < 1c)与Φa实测值完美吻合,验证了通过理性设计取代基电子性质可精准调控光化学反应活性。

图3. 通过DFT计算得到的PAG 1a-1e的前沿分子轨道及其能量
4. 光刻性能
基于PAGs 1a-1e在365 nm的吸收特性,本研究成功制备了系列CAR光刻胶(PR-1a至PR-1e)。实验结果表明,五种PAGs均可用于365 nm光刻,而PR-1d在365 nm曝光下表现尤为突出,仅需30秒完成完整光刻图形,这一优异性能直接源于PAG 1d具有最高的Φa。

图4. 不同光刻胶在365 nm光源下的光刻图案光学显微镜图像
在254 nm光源下系统评估了五种光刻胶的图案化性能,发现其灵敏度与对应PAGs的Φa呈现显著正相关。如图所示,PR-1d凭借其PAG 1d最高的Φa(17.6%),仅需2分钟曝光即可实现完整图案显影,其灵敏度排序(PR-1d > PR-1e > PR-1a > PR-1b > PR-1c)与Φa趋势完全一致,为“高效产酸转化优异光刻胶灵敏度”提供了直接实验证据。这一结果也验证了PAG分子设计与光刻胶性能之间的构效关系。

图5. 254 nm光源下各光刻胶在不同曝光时间获得的光刻图案光学显微镜图像
在EBL下系统评估了五种光刻胶的光刻性能,其灵敏度排序与对应PAGs的Φa值完全吻合(1d > 1e > 1a > 1b > 1c)。而且PR-1d光刻胶展现出卓越的灵敏度(E0=54.4 µC cm−2)和最优对比度(γ=24.39)。这一进展不仅证实了高Φa值与光刻胶灵敏度的直接正相关关系,更凸显了PR-1d在曝光区与非曝光区间优异的溶解选择性,为非离子型PAGs在高分辨率图形化应用奠定了坚实基础。

图6. 五种光刻胶的(a)灵敏度曲线及(b)E0值与对比度
通过系统评估PR-1d光刻胶在优化条件下的线/空间图案制备能力,展现了卓越的纳米图形化性能。在160 μC cm−2曝光剂量下获得的99 nm、89 nm和73 nm分辨率图案,其线边缘粗糙度(LER)分别控制在3.08 nm、2.60 nm和2.87 nm。当曝光剂量提升至190 μC cm−2时,更实现了67 nm(LER=2.49 nm)、52 nm(LER=1.29 nm)和28 nm(LER=1.30 nm)的高分辨率图形。空间分布直方图显示所有图案均呈现窄分布正态分布,标准偏差(0.49-1.02)充分证明了图案的优异均匀性。本研究开发的材料在保持多波长兼容性的同时,不仅将分辨率提升至28 nm,更将LER显著降低至1.30 nm,这些关键性能指标显著优于现有文献报道值,彰显了该材料在高精度图案化应用领域的强大竞争力。

图7. 通过电子束光刻(EBL)使用PR-1d光刻胶制备的不同线/空间(L/S)图案的SEM图像与正态分布图
总结与展望
本文成功设计合成了五种基于萘酰亚胺磺酸盐骨架的非离子型PAGs。其中,PAG 1d凭借其最优的D-π-A分子结构,实现了17.6%的Φa,理论计算也证实了其构效关系。基于该系列PAG的光刻胶在多平台(365 nm、254 nm及电子束光刻)均实现了高质量图形化。尤为突出的是,采用PAG 1d的PR-1d配方在电子束光刻中展现出54.4 µC cm−2的高灵敏度与28 nm的高分辨率,彰显了其在亚30 nm先进制程中的应用潜力。该工作为发展适用于先进光刻节点的高性能非离子型PAGs提供了有益的探索。
撰稿:原文作者
排版:ICM编辑部
文章信息
C. Zhuang, J. Chen, T. Wang, J. Zhao, H. Li, H. Xin and J. Zhang, Naphthalimide-based nonionic sulfonate photoacid generators: structure–property relationship and sub-30 nm resolution lithography, Ind. Chem. Mater., 2026, DOI: 10.1039/D5IM00286A.
作者简介

通讯作者
张建华,上海大学教授、微电子学院执行院长。1999年获上海大学博士学位,长期从事新型显示与微电子技术研究,在AMOLED、柔性显示、薄膜晶体管及传感集成等领域取得系列创新成果。先后获国家杰出青年科学基金(2018年)、教育部长江学者特聘教授(2019年)等荣誉。主持项目获国家科技进步一等奖、上海市科技进步一等奖、技术发明一等奖等多项奖励。建成国内领先的光电显示与微纳制造研究团队和国际先进8英寸半导体显示中试线。

通讯作者
辛涵申,上海大学副教授,博士生导师。2021年入选上海市海外高层次人才引进计划。主要研究领域为先进光刻胶材料合成及工艺研究和有机半导体材料的设计合成及性能研究等。在Acc. Chem. Res., J. Am. Chem. Soc., Angew. Chem. Int. Ed., Chem. Sci.等相关领域发表SCI论文50余篇。申请发明专利10余项,获授权发明专利4项。主持国家自然科学基金青年基金项目、国家实验室科技攻关专项课题、科技部重点研发计划子课题、上海市自然科学基金等项目。

第一作者
庄昌昌,上海大学微电子学院博士研究生,主要研究方向为聚合物基化学放大型光刻胶。

第一作者
陈姣,硕士毕业于上海大学微电子学院,攻读期间主要从事非离子型光致产酸剂的设计合成。
ICM相关文章
Hybrid alkyl-ligand tin-oxo clusters for enhanced lithographic patterning performance via intramolecular interactions, https://doi.org/10.1039/D5IM00058K
Lithographic performances of aryl sulfonate ester-modified polystyrenes as nonchemically amplified resists, https://doi.org/10.1039/D5IM00046G
3. 碳分子筛孔结构精准调控实现含氟特气中结构相似杂质的定向脱除
Fine-tuned ultramicroporous carbon materials via CO2 activation for molecular sieving of fluorinated propylene and propane, https://doi.org/10.1039/D5IM00079C
4. 磺酸型聚合物:解锁光刻胶树脂单体痕量络合态Cr³⁺脱除的“破络-吸附”密钥
Engineering sulfonated polymers for the removal of ultra-trace complexed Cr(III) in tris(2-carboxyethyl) isocyanurate photoresist resin monomers, https://doi.org/10.1039/D5IM00057B
Synthesis and properties of a novel perfluorinated polyimide with high toughness, low dielectric constant and low dissipation factor, https://doi.org/10.1039/D5IM00048C
期刊简介
Industrial Chemistry & Materials (ICM) 目前已被ESCI、EI、CSCD、美国化学文摘(CA)、DOAJ等数据库检索,首个影响因子11.9,位列Q1区,入选2024年中国科技期刊卓越行动计划高起点新刊项目,入选中国科技核心期刊。是中国科学院主管,中国科学院过程工程研究所主办,英国皇家化学会(RSC)全球出版发行的Open Access英文期刊,由张锁江院士担任主编。ICM 以化学、化工、材料为学科基础,以交叉为特色,以应用为导向,重点关注工业过程中化学问题、高端材料创制中过程科学的国际前沿和重大技术突破,目前对读者作者双向免费。欢迎广大科研工作者积极投稿、阅读和分享!
期刊网站:https://www.rsc.org/journals-books-databases/about-journals/industrial-chemistry-materials
投稿网址:https://mc.manuscriptcentral.com/icmat
联系邮箱:icm@rsc.org; icm@ipe.ac.cn
联系电话:010-82612330
微信公众号:ICM工业化学与材料
Twitter & Facebook:@IndChemMater
LinkedIn: https://www.linkedin.com/company/industial-chemistry-materials/
Blog: https://blogs.rsc.org/im/?doing_wp_cron=1713430605.5967619419097900390625

Archiver|手机版|科学网 ( 京ICP备07017567号-12 )
GMT+8, 2026-4-22 02:59
Powered by ScienceNet.cn
Copyright © 2007- 中国科学报社