||
本研究以云南山茶花中花色最浅的珍稀栽培品种'童子面'为材料,通过对其六个不同开花阶段的花瓣进行色差值分析、细胞结构与超微结构观察,以及生理生化指标(包括色素含量、渗透调节物质、抗氧化酶活性和内源激素)的测定,系统探究了其花色形成的生理机制。研究发现,花瓣颜色的变化(从黄绿到粉红最终变为白色)与花色差值的测量结果一致;花瓣表皮细胞的形态和大小在不同阶段差异显著,且其顶端细胞纹理从平滑变为复杂;花青素含量的变化直接主导了花瓣颜色的深浅,在露色期(III阶段)含量最高(14.952 μg/g),此时花色最深;渗透调节物质和抗氧化酶(特别是过氧化氢酶CAT和活性氧ROS)与颜色变化密切相关;内源激素如脱落酸(ABA)和细胞分裂素(CKs)在不同阶段也发生显著变化,且与色素组成和花色变化呈极显著相关(p<0.01),其中ABA与花青素含量呈显著负相关(r=-0.898)。本研究初步揭示了'童子面'花色形成的生理机制,为深入分析其花色形成的分子机制及丰富山茶花色育种提供了理论基础。

1题目
文章题目:The physiological mechanism of the flower color formation of Camellia reticulata 'Tongzimian'
发文单位:西南林业大学 园林园艺学院、中国科学院 昆明植物研究所
2杂志
Ornamental Plant Research
3链接
Xiao H, Nie R, Zeng Y, Chen S, Yan F, et al. 2025. The physiological mechanism of the flower color formation of Camellia reticulata 'Tongzimian'. Ornamental Plant Research 5: e024 doi: 10.48130/opr-0025-0022
4检测方法
Norminkoda提供了以下检测:
总黄酮、总花青素、总类胡萝卜素、总原花青素,以及可溶性糖、可溶性蛋白; SOD,POD,CAT
5主要内容
本研究内容详实,从宏观到微观多个层面展开了分析:
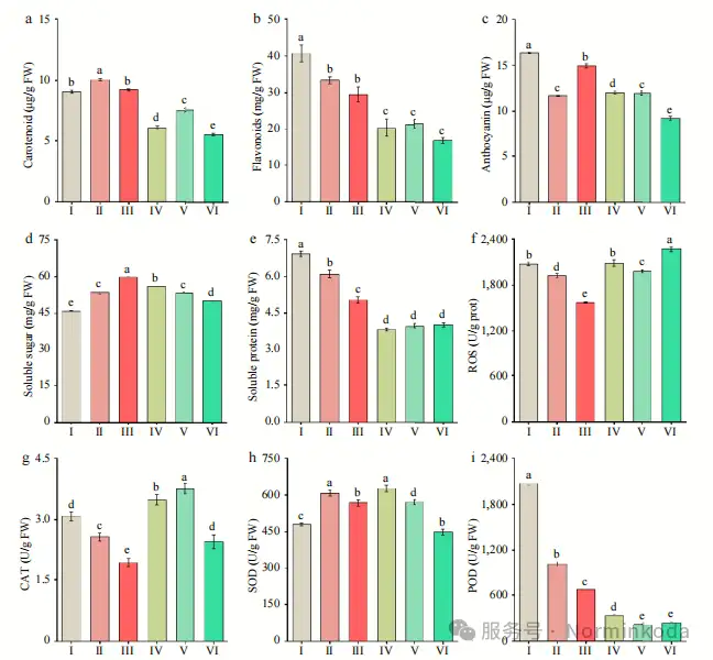
花色表型测量:使用色差仪定量分析了六个开花阶段(I. 蕾期、II. 着色期、III. 露色期、IV. 初开期、V. 盛花期、VI. 衰老期)的花瓣颜色变化。发现亮度(L)在衰老期最高(最白),红绿色品(a)在露色期最高(最红),而黄蓝色品(b)和色度(C)则呈现先降后升的趋势。


2. 细胞结构与超微结构:
解剖结构:发现花瓣厚度、上下表皮细胞大小及 parenchyma 组织厚度均随花期发生显著变化,上表皮细胞的扩张尤为明显,这与花瓣的功能结构及颜色变化密切相关。
超微结构 (SEM & TEM):扫描电镜显示,在颜色变化过程中,花瓣顶端表皮细胞表面从光滑变为复杂的褶皱纹理,盛花期后纹理减弱。透射电镜显示,露色期细胞壁厚、质体和淀粉粒丰富,而到了盛花期,质体形态改变,淀粉粒降解,细胞壁出现部分降解,这与色素含量的减少和花色变白相对应。

3.色素含量分析:测定了类胡萝卜素、类黄酮和花青素含量。花青素含量是花色深浅的关键决定因子,在露色期(III)达到峰值(14.952 μg/g),之后逐渐下降,导致花色变浅。类黄酮总体呈下降趋势,而类胡萝卜素则先升后降。
4.生理生化指标:
渗透调节物质:可溶性糖含量在露色期(III)最高,与花青素合成活跃期一致;可溶性蛋白含量则持续下降。
抗氧化酶活性:活性氧(ROS)和过氧化氢酶(CAT)活性先降后升,超氧化物歧化酶(SOD)先升后降,而过氧化物酶(POD)活性在整个开花期显著下降。这些酶与色素稳定性及抗氧化能力密切相关
5. 内源激素水平:检测了多种内源激素,发现细胞分裂素(CKs)在蕾期最高,随后显著下降,并与色素含量呈显著正相关。相反,脱落酸(ABA)含量持续上升至衰老期达到峰值,并与所有色素成分呈极显著负相关,表明ABA主导了花瓣的衰老和花色褪色过程。其他激素如生长素(IAA)、赤霉素(GA)、茉莉酸(JA)和水杨酸(SA)也发生了显著变化,并通过复杂的互作网络共同调控花色形成。

6.相关性分析:通过相关性网络图揭示了色素、内源激素、渗透调节物质和抗氧化酶之间复杂的相互作用关系,清晰地展示了ABA与色素的负相关以及CKs与色素的正相关。

6总结
本研究系统地得出以下结论:
综上,该研究从生理水平初步揭示了'童子面'浅花色形成的复杂调控网络,为未来通过分子手段(如关键基因克隆和功能验证)定向改良山茶花花色,培育更多浅色、黄色系新品种提供了坚实的理论依据和数据支撑。
'童子面'花瓣颜色的动态变化是由花青素和类胡萝卜素含量的动态变化、细胞形态的微观调整以及内源激素的时序性调控共同驱动的。
花青素是决定花色从黄绿色变为粉红色再褪为白色的最关键色素,其含量在露色期(III)达到峰值。
花瓣表皮细胞形态和超微结构(如细胞褶皱、质体和淀粉粒的积累与降解)的变化影响了光线的吸收和反射,间接影响了颜色的呈现。
内源激素的平衡是花色调控的“指挥中心”。细胞分裂素(CKs) 在早期促进色素合成,而脱落酸(ABA) 在后期通过负向调控花青素积累(显著负相关,r=-0.898)主导了花瓣的衰老和褪色过程。
抗氧化酶(如SOD, POD, CAT)和活性氧(ROS) 与色素(特别是花青素)之间存在一种互补机制,共同应对开花过程中的氧化应激,从而影响花色稳定性。
声明:本文内容观点仅代表个人解读,具体参考原文.
Archiver|手机版|科学网 ( 京ICP备07017567号-12 )
GMT+8, 2025-12-22 04:32
Powered by ScienceNet.cn
Copyright © 2007- 中国科学报社