||
一、线粒体:生命活动的核心舞台
线粒体,细胞内的能量工厂,其DNA的稳定性与数量对细胞功能至关重要。线粒体DNA拷贝数的变异,与衰老及多种疾病紧密相连。细胞内线粒体功能紊乱,关联着糖尿病、心血管疾病、神经系统疾病和肿瘤等。而外周血游离线粒体DNA(ccfmtDNA),则在癌症检测、烧伤病情评估及抑郁失眠等精神疾病研究中,展现出巨大的应用潜力。
二、技术突破:精准检测的全新高度
1. 精准定量,双重质控
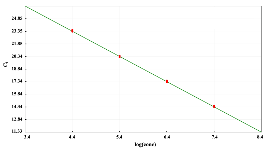
- 提供已知拷贝数的标准品(Standard A)与校正品(Standard B),通过梯度稀释构建标准曲线,结合校正系数消除批次差异,确保数据准确性。
检测原理:双色荧光TaqMan探针法定量PCR技术,FAM荧光根据标准曲线计算线粒体拷贝数,HEX荧光根据标准曲线计算细胞数目。
- 双通道检测(线粒体基因FAM通道+内参基因HEX通道),同步监控实验误差,结果更可靠。
2. 广泛适用,操作便捷
- 兼容细胞DNA与血清游离DNA样本,支持全血、血清等多种样本类型。
- 操作步骤标准化,从样本采集到数据分析全程指导,实验小白也能轻松上手。
3. 高效稳定,品质保障
- 试剂盒组分预混优化,冻融后仍可稳定保存一周,实验灵活性更高。
- 低温运输、-20℃长期保存,确保试剂活性,实验结果可重复性强。

三、线粒体DNA拷贝数的临床应用
疾病诊断与监测
线粒体DNA拷贝数的变化可作为多种疾病的潜在生物标志物。例如,在肿瘤患者中,外周血游离线粒体DNA(ccfmtDNA)水平的升高可能提示肿瘤细胞的凋亡或坏死,可用于肿瘤的早期检测和治疗效果评估。此外,mtDNA拷贝数的减少与心血管代谢疾病(如血脂异常和冠状动脉疾病)密切相关,可作为疾病风险评估的指标。
基础研究与药物开发
在基础研究中,mtDNA拷贝数检测可用于评估线粒体功能的变化,帮助揭示疾病机制。例如,研究发现mtDNA拷贝数的减少与线粒体功能障碍相关,可能通过影响细胞能量代谢和氧化应激水平,进而影响细胞的生理功能。此外,mtDNA拷贝数检测还可用于评估药物对线粒体功能的影响,为药物开发提供重要参考。
Archiver|手机版|科学网 ( 京ICP备07017567号-12 )
GMT+8, 2026-5-19 07:15
Powered by ScienceNet.cn
Copyright © 2007- 中国科学报社