Scientia Agricultura Sinica分享 http://blog.sciencenet.cn/u/SAS

博文

中国农业科学 | 北京林业大学侯智霞课题组鉴定蓝莓VcTPS/VcTPP基因家族并分析VcTPS24对花诱导的功能

已有 2096 次阅读 2025-9-3 11:49 |个人分类:论文|系统分类:论文交流

中国农业科学 | 北京林业大学侯智霞课题组鉴定蓝莓VcTPS/VcTPP基因家族并分析VcTPS24对花诱导的功能

蓝莓(Vaccinium corymbosum L.)是杜鹃花科(Ericaceae)越橘属(Vaccinium L.)果树,果实具有强大的保健功能,产量与花芽质量及数量密切相关。海藻糖-6-磷酸(trehalose-6-phosphate,T6P)作为海藻糖(trehalose,Tre)合成途径的中间产物,可通过调节碳的利用,以调节各个阶段的植物生长和发育,如胚胎发育、幼苗生长、花诱导和叶片衰老过程。挖掘海藻糖合成途径基因,对调控蓝莓花芽分化,提高其产量具有重要意义。

近期,北京林业大学林学院侯智霞课题组题为蓝莓VcTPS/VcTPP基因家族鉴定及VcTPS24对花诱导的功能分析”的研究在《中国农业科学》2025年第58卷13期正式发表。

图片

运用生物信息学方法分析蓝莓海藻糖代谢途径中VcTPS/VcTPP的氨基酸长度、基因结构、保守基序、启动子序列及亚细胞定位。通过qRT-PCR分析VcTPS classⅠ类基因在蓝莓花芽分化过程中的表达特性。通过外源施用赤霉素、生长素和4 ℃低温等处理,分析VcTPS24在蓝莓中对激素和低温胁迫的表达响应。通过双萤光素酶试验分析VcSOC1和VcSVP对VcTPS24启动子的调控作用。在烟草中过表达VcTPS24,验证其调控生长和成花的功能。

从蓝莓中共鉴定出28个VcTPS和19个VcTPP家族成员,均可分为2个亚家族,VcTPS蛋白的氨基酸数量为465—1 382 aa,平均等电点(pI)为6.02。大多数成员具有3个外显子结构;VcTPP家族蛋白的氨基酸数量为241—434 aa,平均等电点为7.48。大多数成员具有11个外显子结构。

图片

蓝莓VcTPS(a)和VcTPP(b)家族成员基因结构及保守基序分析

VcTPS/VcTPP家族成员启动子序列均包括G-Box、P-Box、LTR和circadian等元件,参与光照、激素、胁迫响应及调控植株生长。VcTPS/VcTPP家族成员多定位在叶绿体和液泡中。

图片

蓝莓VcTPS(a)和VcTPP(b)家族基因启动子顺式作用元件分析

在蓝莓花诱导过程中,VcTPS classⅠ类基因的表达水平显著上升,其中,VcTPS24在花芽分化全过程中的表达水平均显著高于未分化组。外源IAA、GA3、SA、MeJA和低温胁迫可显著诱导蓝莓苗VcTPS24表达量上调。

图片

VcTPS24在激素和低温胁迫处理下的相对表达水平

双萤光素酶试验表明,VcTPS24的启动子活性可被VcSOC1显著提高,而被VcSVP显著抑制。亚细胞定位表明,VcTPS24定位于细胞核和细胞质。

图片

双萤光素酶报告系统检测结果

图片

蓝莓VcTPS24的亚细胞定位

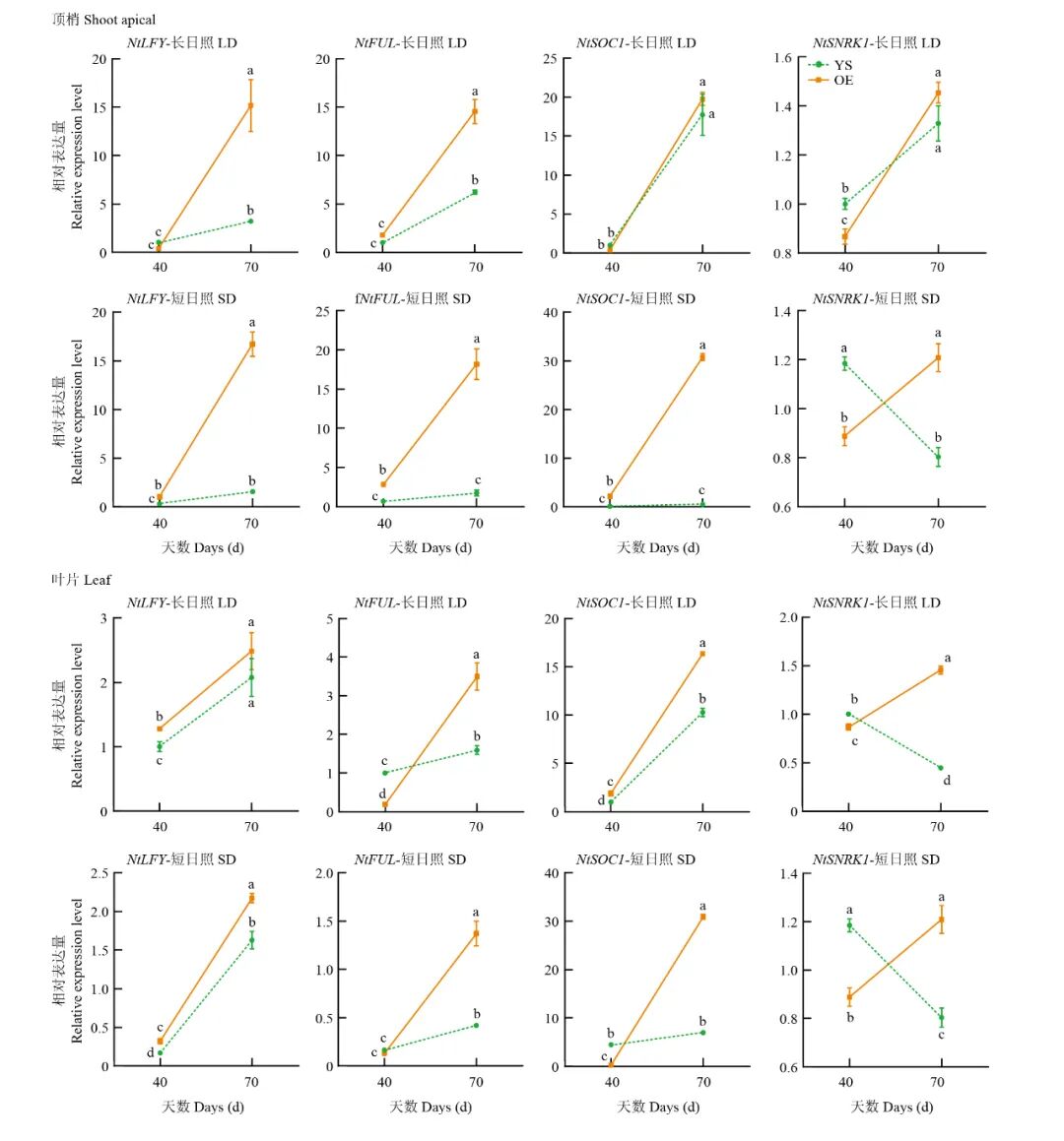
在无外源蔗糖环境下,过表达VcTPS24的烟草种子萌发和胚根伸长得到促进,但其幼苗生长会受过量蔗糖阻碍。短日照条件可显著诱导VcTPS24表达,在长、短日照条件下,过表达VcTPS24烟草NtLFYNtFULNtSOC1的相对表达量均有不同程度的增加,其花序的形成时间均显著早于野生型,表明VcTPS24参与成花诱导调控。

图片

过表达VcTPS24烟草植株的生长状态及胚根长度统计

图片

野生型和过表达VcTPS24烟草的生长状态及VcTPS24的表达水平

图片

成花相关基因在烟草中的相对表达量

综上,共鉴定出28个蓝莓VcTPS和19个VcTPP家族成员,VcTPS classⅠ基因在蓝莓花诱导期间发挥重要作用。VcTPS24的表达受外源激素影响,且过表达VcTPS24能促进烟草开花,可能与促进成花基因的表达有关。

北京林业大学林学院吴新亮为该文第一作者,侯智霞教授为该文通信作者。

该研究获得北京市自然科学基金(62522023)、北京林业大学热点跟踪项目(2022BLRD07)的资助。

全文链接:

 蓝莓VcTPS/VcTPP基因家族鉴定及VcTPS24对花诱导的功能分析

文献引用

吴新亮, 吴慧玲, 张绥林, 曹漫, 冯欣, 周冰洁, 侯智霞. 蓝莓VcTPS/VcTPP基因家族鉴定及VcTPS24对花诱导的功能分析[J]. 中国农业科学, 2025, 58(13): 2663-2681.

WU XinLiang, WU HuiLing, ZHANG SuiLin, CAO Man, FENG Xin, ZHOU BingJie, HOU ZhiXia. Identification of the VcTPS/VcTPP Gene Family in Blueberries and Functional Analysis of VcTPS24 in Floral Induction[J]. Scientia Agricultura Sinica, 2025, 58(13): 2663-2681.



https://blog.sciencenet.cn/blog-3581686-1500238.html

上一篇:中国农业科学|河北农业大学王冬梅课题组筛选GmSZFP互作蛋白并分析GmERF7在大豆抵抗SMV侵染过程中的功能
下一篇:《中国农业科学》2025-17期目录
收藏 IP: 175.169.189.*| 热度|

1 王涛

该博文允许注册用户评论 请点击登录 评论 (0 个评论)

数据加载中...

Archiver|手机版|科学网 ( 京ICP备07017567号-12 )

GMT+8, 2025-12-24 00:21

Powered by ScienceNet.cn

Copyright © 2007- 中国科学报社

返回顶部