||

Manipulation of vortex array via a magnetism-tunable spin-polarized scanning tunnelling microscopy
Bing Xia(夏冰), Hong-Yuan Chen(陈虹源), Jian Zheng(郑健), Bo Yang(杨波), Jie Cai(蔡杰), Yi Zhang(章毅), Yi Yang(杨毅), Hao Yang(杨浩), Dan-Dan Guan(管丹丹), Xiao-Xue Liu(刘晓雪), Liang Liu(刘亮), Yao-Yi Li(李耀义), Shi-Yong Wang(王世勇), Can-Hua Liu(刘灿华), Hao Zheng(郑浩), and Jin-Feng Jia(贾金锋)
Chin. Phys. B, 2025, 34 (3): 037402

自从在拓扑超导异质结的超导涡旋中心处发现马约拉纳零能模(MZM)以来,基于MZM构建拓扑量子比特已经成为凝聚态物理领域最前沿之一。MZM的操控与编织是实现拓扑量子计算的一个重要的技术路径,此路径当中首先要解决的技术难点在于如何对超导薄膜中的磁通涡旋进行空间上的可控操作。
本文基于多功能扫描隧道显微镜(MSTM)系统开发了磁力操控单涡旋技术,并对超导薄膜 NbSe2中的涡旋操控展开了研究。本文首先利用铁磁性针尖实现了由磁针剩磁产生的涡旋阵列的可控移动。进一步地,将线圈布置于磁针周围,形成螺线管构型并将该器件引入 MSTM系统中,发展了强磁针尖消磁技术,通过改变线圈内部磁场消除磁针部分剩磁,从而使磁针与涡旋互相独立,为进一步实现单涡旋操控提供了可行的技术方案和基础,为实现拓扑量子计算走出了坚实的一步。
原文链接
Fig. 3. Vortex lattice movement along a single or arbitrary direction induced by hard or soft magnetic tips.(a) Vortex lattice movement in a single direction induced by hard magnetic Fe tip. (b) Vortex lattice movement in a circle induced by soft magnetic FeSiB tip.

Anomalous Hall effect in Bernal tetralayer graphene enhanced by spin-orbit interaction
Zhuangzhuang Qu(曲壮壮), Zhihao Chen(陈志豪), Xiangyan Han(韩香岩), Zhiyu Wang(王知雨), Zhuoxian Li(李卓贤), Qianling Liu(刘倩伶), Wenjun Zhao(赵文俊), Kenji Watanabe, Takashi Taniguchi, Zhi-Gang Cheng(程智刚), Zizhao Gan(甘子钊), and Jianming Lu(路建明)
Chin. Phys. B, 2025, 34 (3): 037201

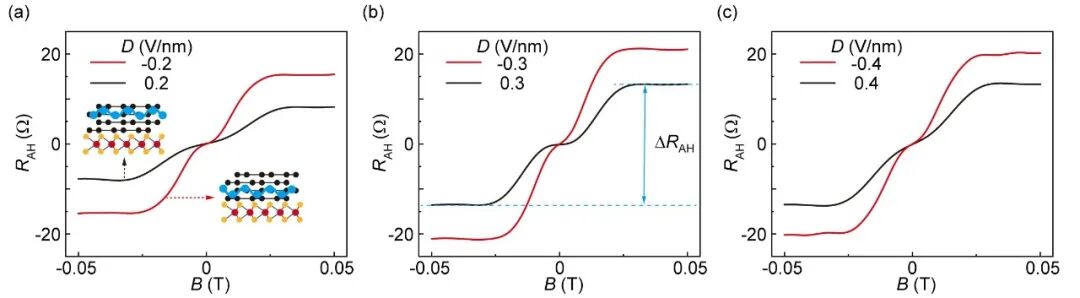
石墨烯体系的反常霍尔效应依赖于谷对称性破缺引入的贝利曲率。如何打破谷对称性并且持续工作到高温,是人们一直感兴趣的研究课题。自旋轨道相互作用(spin-orbit interaction,SOI)是拓扑绝缘体的重要组成部分,利用过渡金属硫族化合物近邻效应在石墨烯中引入较强SOI可能是产生非平庸贝利曲率的一种有效途径。最近在贝纳尔四层石墨烯(结构稳定)中发现的反常霍尔效应可以持续到70 K。这一发现为研究SOI对反常霍尔效应的影响提供了极好的实验平台。
本研究通过制备WSe2和贝纳尔四层石墨烯形成的高质量异质结器件,系统研究了SOI对反常霍尔效应的影响:在非对称的结构中,对比正负电位移场下反常霍尔电阻的大小,发现当电子接近WSe2层时,反常霍尔效应被显著增强。同时,增强的反常霍尔效应可以持续到80 K,高于液氮温度,对高温量子器件的实际应用有重要的参考价值。
原文链接
Fig. 2. Anomalous Hall resistance RAH at n = 0.2×1012 cm-2 as a function of magnetic field at ±0.2 V/nm (a), ±0.3 V/nm (b), ±0.4 V/nm (c). The black (red) line represents -D (+D). Inset of (a): Schematic distribution of carriers (blue wave). Inset of (b): Definition of ΔRAH.

Electronic structure and carrier mobility of BSb nanotubes
Lantian Xue(薛岚天), Chennan Song(宋晨楠), Miaomiao Jian(见苗苗), Qiang Xu(许强), Yuhao Fu(付钰豪), Pengyue Gao(高朋越), and Yu Xie(谢禹)
Chin. Phys. B, 2025, 34 (3): 037304

低维半导体材料被认为是高性能电子器件的潜在候选材料。近期研究表明,硼-V族(V = P, As, Sb)单层的电子和空穴均具有较高的迁移率,同时BP和BAs纳米管通常表现出比其单层更高的载流子迁移率,而BSb在二维硼-V族材料中展现出最高的迁移率,但其纳米管形式尚未被深入研究。
本文基于第一性原理计算系统地研究了硼锑(BSb)纳米管的电子结构和载流子迁移率,分析了不同手性(扶手椅型和锯齿型)对其性能的调控作用。研究发现,扶手椅型纳米管(ANTs)的带隙和载流子迁移率随着手性指数增加单调下降,而锯齿型纳米管(ZNTs)的带隙随着手性指数增加先增后减,相应的迁移率则呈现振荡行为,其电子和空穴迁移率达到103至107 cm2V-1s-1,这些性能差异主要归因于卷曲为纳米管后引起的π*-σ* 杂化效应和平面结构的能带折叠。这项工作首次系统性地探讨了BSb纳米管的电子性质和载流子迁移率,为其在高性能电子器件中的应用提供了重要的理论支持,同时揭示了手性调控在低维材料性能优化中的潜力。
原文链接
Fig. 1. (a) Band gap (Eg) as a function of the nanotube radius for ZNTs and ANTs. The gray line indicates the band gap of the monolayer h-BSb. (b) The corresponding band-edge energies (EVBM and ECBM) of ANTs and ZNTs. (c) Carrier mobility of electrons and holes in ANTs and ZNTs.

Explosive information spreading in higher-order networks: Effect of social reinforcement
Yu Zhou(周宇), Yingpeng Liu(刘英鹏), Liang Yuan(袁亮), Youhao Zhuo(卓友濠), Kesheng Xu(徐克生), Jiao Wu(吴娇), and Muhua Zheng(郑木华)
Chin. Phys. B, 2025, 34 (3): 038704

信息传播的研究已有数十年历史,然而为何有些信息一经发出就能够吸引人们的眼球并迅速爆发,我们对其内在机制还不是很清楚。其中的一种解释是爆炸式信息传播,即传播过程呈现不连续相变。一般认为,社会加强效应和个体间高阶相互作用是引发信息爆炸式传播的两个关键因素。然而,由于缺少实证数据和相应的理论分析方法,社会加强和高阶相互作用如何共同影响信息的爆炸式传播仍不清楚。
为此,本文作者提出了一个兼顾高阶相互作用和社会加强效应的信息传播模型。取决于网络平均群体大小和节点成员身份,作者观察到了两种不一样的传播现象:(1)无论社会加强作用如何,信息都只是局域化到少部分节点;(2)大的社会加强作用会引发信息的大规模传播并产生爆炸式传播现象。此外,作者还发现较大的平均群组大小和节点成员度会促进信息的爆炸式传播,而它们异质性的度分布会使得爆炸式传播现象更加明显。最后,作者利用了群体的近似主方程法来检验数值模拟的结果。这些发现将有助于理解现实生活中信息的快速传播现象。
原文链接
Fig. 2. Information spreading on real-world hypergraphs. Each row in the figure represents the results of one real-world hypergraph. The first column shows the membership distribution gm and the group size distribution pn (inset). The dashed line indicates the power law fitting with gm∼m-γm. The second to fourth columns display the time evolution of the fraction of susceptible, infected, and recovered nodes, respectively.

Data Papers
Instrumentation and Measurement
Computational Programs for Physics

Celebrating 30 Years of Chinese Physics B
Stephen J. Pennycook: A research life in atomic-resolution STEM and EELS
Recent progress on kagome metals and superconductors
Quantum computing and quantum sensing
Structures and properties of materials under high pressure
Post-Moore era: Materials and device physics
States and new effects in nonequilibrium
Valleytronics
Smart design of materials and design of smart materials
Superconductivity in vanadium-based kagome materials
Non-Hermitian physics
长按二维码,关注我们官网:http://cpb.iphy.ac.cn https://iopscience.iop.org/journal/1674-1056
从投稿到录用平均审稿周期:2个月
文章录用后2天内网上预出版(DOI)
每期评选封面文章、亮点文章并多渠道宣传推送
入选“中国科技期刊卓越行动计划”

Archiver|手机版|科学网 ( 京ICP备07017567号-12 )
GMT+8, 2025-12-26 12:20
Powered by ScienceNet.cn
Copyright © 2007- 中国科学报社