科学的学徒分享 http://blog.sciencenet.cn/u/sunbohua

博文

[转载]PoF | 中国科学院孙博华教授:认为湍流运动速度梯度的二次项应当保留从而推导出不可压粘性流体的新方程

已有 2494 次阅读 2026-1-14 10:19 |系统分类:论文交流|文章来源:转载

一提到湍流,就让人想到一个说法, 湍流是物理学中最具挑战性的问题之一,被称为“未解决的经典物理问题.“ 历史上,一些著名物理学家和数学家,如 Werner Heisenburg, Richard Feyman, Andrei Kolmogorov 终其一生也没有解决湍流问题。甚至传说著名的物理学家 Horace Lamb 希望到天堂后询问上帝有关湍流问题。

牛顿(Isaac Newton, 1642-1727)于1686年发表了著名的原理《Principia》对质点和刚体建立了牛顿三定律和牛顿万有引力理论。欧拉(Leonhard Euler , 1707-1783) 把流体看成由无穷多质点组成的连续体,于1755年在《流体运动的一般原理》一书中首先提出无粘流体力学方程,即欧拉方程。 1752年法国学者达朗贝尔(Jean Le Rond d’Alembert , 1717-1783)  发现由欧拉方程得到物体在流体中运动阻力为零,即达朗贝尔谬误(d’Alembert’s paradox),人们不得不开始思考流体具有内部的摩擦即粘性。1821年法国学者纳维叶 (Claude Louis Marie Henri Navier,1785-1836)从流体内部分子相互作用的角度推导出粘性流体的方程,后来发现方程有误,于1823年重新推导。英国的斯托克斯 (Sir George Gabriel Stokes, 1819-1903) 在Navier工作的基础上,推导出了常粘性的不可压流体方程,即现在著名的Navier-Stokes方程, 人们认为这个方程可以模拟流体的所有运动。Navier-Stokes方程是千禧年美国Clay研究所百万美元悬赏答案的7大数学难题之一,至今还没有解决。

众所周知,目前认为粘性流体运动的状态由其相应的雷诺数(Reynolds number) 决定,而对于特定长度尺度的粘性流体问题而言,流动速度是影响雷诺数的决定因素。一般而言,给定长度尺度和粘性系数,速度越高相应的雷诺数也越高。流动速度由低到高的逐渐变化,对应的流动状态也会有比较大的变化。在雷诺数小于某个临界值时,流动处于层流状态,然后随着流动速度的不断提高,流动就开始出现波动、失稳,一旦雷诺数达到某个临界值,流动就进入湍流状态。

遗憾的是,不知为什么号称包括流体运动所有信息的Navier-Stokes方程可以模拟层流而无法准确模拟湍流运动,这让人们感到非常困惑。由于流体力学家一直坚信Navier-Stokes方程可以模拟包括湍流的所有运动,所以在发现Navier-Stokes方程不能准确模拟湍流时,不是去思考如何修改Navier-Stokes 方程,而是从计算Navier-Stokes 方程的方法上进行改进。

1895年英国学者雷诺(O. Reynolds)通过实验观察,提出雷诺平均化方法,即把流动速度分解成平均和脉动二部分,试图使用平均统计方法对Navier-Stokes方程进行改造以便可以模拟湍流运动,从而导出雷诺平均方程即RANS 方程。但没有想到的是,这样的平均化过程导致RANS 方程不封闭。 就是说,把原来确定封闭的Navier-Stokes 方程改变成了不封闭的方程,不仅如此,从数学上也没有达到对原来Navier-Stokes 方程的简化目的。

自从使用雷诺平均化以来,由于大量工程应用的需要,不得不使用各种各样的近似方法,去封闭RANS方程组,提出了各种各样模式。问题是,能否建立一种普适的封闭湍流模式理论用来预测各种尺度的湍流运动?遗憾的是,经过130年的共同努力,至今仍未建立出这样一种理论。相反,目前提出的众多模式都采用了不严谨的假设、都具有自己的局限性。

从1895年至今已有130年,纵观这130年的发展,可以说已经使用了目前所有的可以想到的数学工具和计算资源来计算Navier-Stokes方程,以期可以模拟湍流运动。近年来又开始使用AI和机器学习技术求解Navier-Stokes方程。所有这些努力,对于湍流问题的解决一直都未有本质的突破。人们不禁要问,敢问路在何方?

本研究从一个小故事开始。孙博华的论文【Bo Hua Sun (孙博华), Physics of Fluids, 36, 083616 (2024)】于2024年8月20日online后,他用微信把论文发给Fields(菲尔兹奖)获得者丘成桐教授请他指教。丘成桐先生马上就回复,邀请他做讲座。他于2024年9 月11日在清华大学静宅给丘成桐先生介绍了论文的工作。2024年9月11日早晨,丘成桐先生来微信邀请他在清华大学丘成桐数学中心主持力学领域的讨论班,他就分别开设了“量纲分析与标度律”和“张量分析与应用”二个系列讨论班。“量纲分析与标度律”讨论班于2024年11月8日结束后,丘成桐先生与参加讨论班的学员座谈合影交流。其间,丘成桐先生提到C.C. Lin(林家翘)并曾听林先生说他解决了湍流问题,问孙博华对湍流的看法。孙博华说湍流形象很复杂,问题还没有解决。丘成桐先生无意间对孙博华的提问,激发了他事后的思考。座谈会后,孙博华回顾了自己研究湍流的艰难历程,意识到如果按照目前流行的思路走下去,不可能解决湍流问题。俗话说,不怕做不到就怕想不到,要解决湍流问题,必须要有新思维。为此,孙博华从第一性原理出发,决定重新推导流体的运动方程,希望可以从源头发现解决问题的思路。在推导过程中,他发现唯一涉及到人为因素的是如何确定流体的本构方程σ=σ(S)。根据张量表示理论,他立刻就意识到Newtonian流体的线性本构方程是不完整的,需要在理性力学的高度进行完善,从而推导出这篇文章中的流体运动方程。

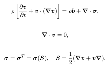
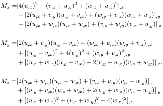
(以上是任意不可压缩流体的最一般运动方程,方程的封闭需要知道本构关系的确定)

具体讲,这篇文章的主要工作包括: 1. 根据张量表示理论和Cayley-Hamilton定理,各向同性流体的最一般的本构关系应当表达成 Reiner-Rivilin的形式:    

其中的二次项不能省略,原因是湍流运动的速度梯度比较高,特别是靠近固壁附近,二次项不是小量绝对不可以忽略; 

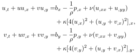
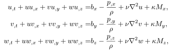
 2. 推导出新的流体动量方程    

 在笛卡尔坐标系的形式是   

其中   

 3.流体运动的二维动量方程   

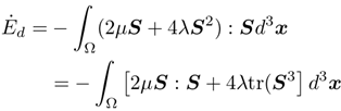
 4. 导出熵不等条件   

 5. 给出能量耗散率   

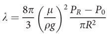
 6. 引入了一个新的无量纲量   

 这个无量纲量(K数)与雷诺数不同,它只与二次粘性和长度尺度有关,与流体运动速度尺度无关。这就意味着,K数对所有特征速度的流体运动都有影响,所以二次粘性系数需要保留。 

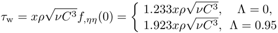
 7. 导出新的边界层方程    

 并对锲形流动U(x)=Cx推导出改进的Blasius方程   

 并给出锲形流动壁剪切应力表达式  

 

  8. 提出一种实验测量二次粘性系数的方法   

 9. 文章中还包括了温度场的耦合问题,特别是在附录中分别给出了可压缩粘性流体的运动方程和混合流体的运动方程。 

 同时这篇文章还表达了以下观点:

1.  对任何非线性方程使用雷诺平均化方法,都将导致不封闭的问题;  

2.  雷诺应力 (Reynolds stress) 本质上不是真实的应力,它是加速度的对流部分v·(∇v) 平均化后的结果;

3.  对无粘的理想流体对应的欧拉方程进行雷诺平均也将产生同样的雷诺应力,所以对雷诺应力提出各种各样的模式可能没有抓住湍流问题的核心,因为无粘流体即理想流体的运动是无旋运动,根本没有湍流运动;  

4.  为什么直接数值模拟(Direct numerical simulations-DNS)可以使用Navier-Stokes方程模拟一些湍流问题?因为在速度梯度的二次项显著小于一次项时,二次项就可以被省略,这样新方程就可以转化成包括速度梯度的一次项的Navier-Stokes方程,所以Navier-Stokes方程可以模拟二次项可省略的湍流运动;  

5.  提出从本构关系解决湍流问题的思路框架,即解决任何流体的湍流运动都要从流体的本构关系入手,因为湍流是流体梯度与粘性相互作用导致的复杂运动状态,无论速度梯度多大其二次项都不可以省略; 

6.  虽然新的流体运动方程是针对湍流建立的,由于并没有限制速度梯度的大小,导出的新方程也适用于层流,或者说这里的新方程是Navier-Stokes方程的改进完善;  

7.  什么才是产生湍流的原因?这是流体力学中的一个非常核心的问题,从新方程可以宏观地说,流体一次粘性和二次粘性与速度梯度的相互作用是湍流产生的主要原因. 由于粘性使得速度梯度不为零的流动产生vorticity,造成流体旋转,又由于质量守恒,流体必须补充流出的质量,再加上对流项的非线性调制,使得运动形态非常复杂。速度梯度非常小的时候流动主要是层流运动,速度梯度非常大的时候流动主要是湍流运动。

文章来源:PoF | 中国科学院孙博华教授:认为湍流运动速度梯度的二次项应当保留从而推导出不可压粘性流体的新方程



https://blog.sciencenet.cn/blog-72754-1518392.html

上一篇:[转载]中国科学院孙博华教授:非定常层流边界层的相似解-----对流体力学中一个120年的未解难题的探索
下一篇:回忆参加钱学森的最后一个报告会
收藏 IP: 223.104.40.*| 热度|

2 郑永军 檀成龙

该博文允许注册用户评论 请点击登录 评论 (1 个评论)

数据加载中...

Archiver|手机版|科学网 ( 京ICP备07017567号-12 )

GMT+8, 2026-5-30 15:37

Powered by ScienceNet.cn

Copyright © 2007- 中国科学报社

返回顶部