||
市面上有大量的笔记软件,哪怕是主要面向理工科用户的笔记软件也有不少,其中目前比较热门的是 Notion 和 Obsidian。笔者在读博士期间这两个软件均深度使用,除此之外,笔者还尝试过国产开源的类 Obsidian 的一个软件,名为 Logseq,Logseq 的特点是比 Obsidian 更细的粒度,我在写某篇论文的最后阶段时尝试使用过 Logseq,体验甚好。
除了笔记软件外,专业的论文写作工具更是数不胜数,除了几乎成为行业标准的 Overleaf 外,我日常使用 VS Code的 LaTeX workshop插件结合 Overleaf 会员的 Git 集成,在本地编辑好文章后再通过 Git 推到 Overleaf 上。这里提一嘴插曲,LaTeX workshop插件的开发者曾经是南科大的教授,不知道为什么南科大没能留住这个老师。除了 LaTeX workshop 外,我还使用了 LaTeX utility 这个插件,这个插件自定义了上千个 snippet,除此之外加上我自己定义的上千个 snippet 和 shortcut,我几乎单纯的使用 LaTeX 便达到了媲美手写的编辑速度。
笔者也尝试过 Vim,Emacs,乃至 Helix,目前较为常用的是 Neovim,然而由于懒得维护插件,笔者直接选择了 Astronvim 作为整合包,然后在演示极小的 LaTeX 项目的时候使用。鲁汶大学数学系的博士生 Gilles Castel 利用 Vim 和 LaTeX 以及大量的插件达到过类似的效果,那时他写了一篇教程,国内的量子位曾翻译过这篇雄文,获得了无数的关注: How I'm able to take notes in mathematics lectures using LaTeX and Vim。这篇文章让我最早接触到了 snippet 这个概念(是的,笔者很菜,2019年才开始入门计算机),有段时间我深深沉迷于此。后来我在博士期间从某个地方看到了一篇訃告,才知道 Castel 博士因为心理问题在 2022 年自杀身亡了,令人不胜唏嘘。
再回到 LaTeX,笔者的博士导师是 LyX(可以简单理解成一个LaTeX前端) 的狂热用户,因此笔者也短暂使用过 LyX 并向导师安利 TeXmacs(可惜失败了,演示的时候 TeXmacs 闪退且文件丢失了,笔者的导师当初就禁止笔者使用这样邪门的软件)。
除此之外,由于在电子与计算机系,笔者身边有不少 Rust 用户,他们社区在各种地方刷 Rust 的行为让笔者接触到了非常多的 Rust 开发的软件,例如 Warp,Raycast,还有现在非常火热并有取代 LaTeX 可能的 Typst。没错,笔者也用过 Typst!
我曾用这么一句话对比 Liii STEM 和 Typst:Typst是一台精美超高科技的碳纤维自行车,Liii STEM 则是一破铜烂铁吱吱喳喳跑在路上的老爷车。区别在于我们是四个轮子的。
是的,写了这么多,笔者只是想让大家知道,笔者尝试过(并深度使用了)相当多和 Liii STEM 的功能部分重合的软件,甚至其中很大一部分笔者至今仍在用。
那么为什么我要用一个写论文时模板和板式没 LaTeX 丰富,记笔记时体感没有 Obsidian 现代和便捷的 Liii STEM 呢?对于笔者来说,为什么要博士毕业后甚至压上身家 All in Liii STEM 而不是去留学中介骗大家去美国读博士呢?
这篇文章便是要回答这个问题。
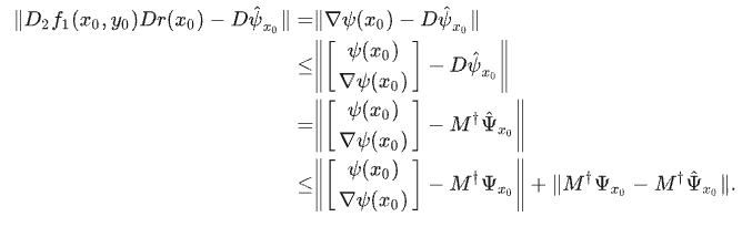
1 打草稿没错,第一个用途是看起来极为离谱的打草稿!事实上不仅是笔者,罗格斯大学的吴博士以及北京大学数学科学学院的李若教授日常使用 Liii STEM 的场景都是打草稿。我们这里具体一下,以我个人的经验,我认为 Liii STEM 极其适合打大量长线推导公式的草稿。例如如下推导:

这部分的公式出自我读博士期间一篇发表在美国控制大会上一篇博弈论和强化学习的论文,这只是其中一项的推导,完整的推导有两页纸,十几个项。由于项过多,手写的时候极易抄漏。同时由于这个版式过于复杂,多行公式里套 norm,norm 里套矩阵,矩阵里套妙妙符号,妙妙符号里套奇妙上下标,所以用 LaTeX 写作的时候要时刻注意是否少写了个括号,或者少敲了个换行符(同时由于版式逆天以及笔者定义了太多macro,AI生成效果极差)。
然而在 Liii STEM里这些问题都不存在,格式与内容一致(哪怕Typst也是格式与内容分离的)导致你可以随意复制粘贴不用担心漏项,极其方便的输入方式(详见:乐高符号与Tab循环)导致可以达到几乎手写敲符号速度而不需要定义哪怕一行的 macro 和 snippet。最贴心的是,多行公式和矩阵是自动对齐的!加一行多行公式只需要敲一个 Enter,而矩阵多加一行只需要 Alt 加上方向键。
因此在做一些学术价值存疑的推强化学习的收敛 bound 的学术文章的时候,Liii STEM 成为了我和吴博士的首选。

Liii STEM里的编辑界面,其中 ∇ 通过敲 n 然后 Tab 输入。
2 记笔记好了,上文我提到过 Liii STEM 记笔记时体感没有 Obsidian 现代和便捷,同时 Liii STEM 的双链支持也比 Obsidian 做的差,那么为什么我还需要用 Liii STEM 记笔记?这里笔者要引入几个暴论般的公理:
| 公理 1. 笔记的价值在于要自己常看。 |
| 公理 2. 如果笔记不是记给别人看的,那往往自己也不会看。 |
| 推论 1. 如果笔记不是记给别人看的,那么笔记无价值。 |
接下来是最大的暴论:
| 公理 3. 给别人看的笔记,用 Liii STEM 做是最好最快的。 |
事实上这段内容便是我用 Liii STEM 敲出来的,类似 公理 1 和 公理 2 的结构我们称为语义块,Liii STEM里天然拥有大量的类似结构,无需任何设置就可以用,而且注意到我们文档内部的双链做的是不错的,也可以实时预览,如图 2所示。
官网还有我们客户敲(以及魔法粘贴)的一百多页的笔记模板,详见STAT850。
3 讲课如果你用 Liii STEM 记笔记熟练了,你甚至可以直接用 Liii STEM 讲课,参考: 如何对矩阵函数求导。由于最新版本的 Liii STEM 支持手写块 以及 手写公式识别,所以需要大量画图的课程也不需要太担心(但是我们还没有测试过这样使用的稳定性)。
4 基金本子,红头文件,考试卷子,计算书我刚开始创业的时候以为我们的用户会全部都是数学物理计算机方向的大学老师或者学生,然而事实上我们总有些奇妙的用户。尤其是当我们提供模板定制的服务后。
我们有好几位土木工程的客户,他们的需求都很奇特,例如土木的计算书,需要能跑代码,但是 Jupyter 又没法方便的排表格,因此我们这块专门做了一些开发(仍在Debug中)。
还有一些高中老师和大学考研辅导老师,他们拿 Liii STEM 排试卷,官网有一些这样的模板,详见试卷模板。
最奇妙的是有些人找我们定制了基金和红头文件的模板,理由很朴素,Liii STEM 这里既可以敲公式,拖图片进来版式还不乱。我们愿意对更多的基金模板做支持,保证您的本子导出PDF后可以通过格式审查!如果有需求欢迎直接加我的微信 Haggittli
5 论文最后我们说到论文,Liii STEM 对比 LaTeX 写论文最大的缺点有两个
缺乏协同编辑手段。
缺乏模板。
我个人解决这个问题主要是利用 Liii STEM 写部分的内容然后导出 LaTeX 然后 Git 传到 Overleaf 解决的,但是这个解决方式需要用户对两者都很熟悉,我目前没见过几个像我这样 Liii STEM 和 LaTeX 都用的极为熟悉的人(我称之为岩松不相容准则)。因此这个问题我建议的解决手段非常的人工智能。
利用Git协同(智能)
找我们定制模板(人工)
我个人过去一年的创业体会就是论文市场真的不容易吃,成熟方案太多了而且用户要求极为精细,因此我们的用户只有如北师港浸会的王教授这样的才能全程用 Liii 来写论文,我个人也很难做到。但是我们对这个市场兴趣极大,因此如果找我们定制论文模板,我们收费价格极低,欢迎来咨询:模板定制服务。
Archiver|手机版|科学网 ( 京ICP备07017567号-12 )
GMT+8, 2026-5-30 07:43
Powered by ScienceNet.cn
Copyright © 2007- 中国科学报社