||
在注重节本增效的现代棉花栽培背景下,滴灌施用缩节胺(1,1-dimethyl piperidinium chloride,DPC)具有潜在优势,例如在干旱棉区能够减少传统DPC叶面喷施化控所需的人工与机械成本。然而,滴施DPC的适宜剂量及其对棉花生长和产量的调控效应,尤其是不同DPC敏感型棉花品种的响应规律,目前仍尚不明确。
近期,石河子大学农学院罗宏海教授团队完成的题为“Proactive optimization of drip-applied DPC based on cultivar sensitivity: Increasing machine-harvested cotton yield and reducing DPC residues”的研究在Journal of Integrative Agriculture(JIA)优先在线发表。
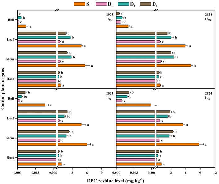
该研究选用DPC敏感型品种惠远720(H720)和DPC钝感型品种新陆早74号(L74)为试验材料,设置不施DPC(D0)、叶面喷施DPC(S1)、滴施DPC处理D1(剂量与S1一致)、D4(剂量为S1的4倍)和D6(剂量为S1的4倍)的对比处理,系统研究了滴施DPC对棉花生育进程、农艺性状、冠层结构、机采性状、棉铃分布、产量及DPC残留的影响。
结果表明,与D0处理相比,H720品种D4处理和L74在D6处理能发挥最优协同调控作用,可以缩短棉花生育期,塑造紧凑的株型和冠层结构,优化中下部透光环境,并促进脱叶吐絮和增加中下部棉铃数量,且铃数、籽棉产量和皮棉产量分别增加1.7%–5.5%和0.7%–2.4%。与S1相比,H720品种在D4处理和L74在D6处理下的产量表现相当,但棉株内的DPC残留量显著降低36.3%–71.0%。上述结果说明,在干旱棉区针对品种对DPC的敏感性差异,结合适宜的滴施剂量,可以作为一种取代叶面喷施的DPC调控策略,为棉花水肥药一体化技术和绿色可持续发展提供新的实践方向。



石河子大学农学院罗宏海教授和新疆农科院棉花研究所田立文研究员为共同通讯作者,博士生石峰和青年教师田雨为共同第一作者。该研究获得自治区天山英才科技创新领军人才(2022TSYCLJ0061)、新疆人才发展基金项目(XL202405-07)和自治区天山英才科技创新团队(2024TSYCTD0019)项目的资助。
Cite the article:
Feng Shi, Yu Tian, Xiaojuan Shi, Liwen Tian, Xianzhe Hao, Nannan Li, Hongxia Zhang, Humei Zhang, Houxiu Zhao, Shijie Deng, Xuan Liu, Guoxing Ma, Jing Li, Jun Wang, Honghai Luo. 2026. Proactive optimization of drip-applied DPC based on cultivar sensitivity: Increasing machine-harvested cotton yield and reducing DPC residues. Journal of Integrative Agriculture, Doi:10.1016/j.jia.2026.02.009
https://doi.org/10.1016/j.jia.2026.02.009
Journal of Integrative Agriculture(《农业科学学报(英文)》, JIA)由中华人民共和国农业农村部主管,中国农业科学院与中国农学会主办,中国农业科学院农业信息研究所承办。综合性英文学术期刊,月刊。创刊于2002年,现任主编为中国科学院院士陈化兰。JIA主要栏目有作物科学、园艺、植物保护、动物科学、动物医学、农业生态环境、食品科学、农业经济与管理等。刊稿类型有综述、研究论文、简报以及评述等。全部论文在Elsevier-ScienceDirect (SD) 平台OA出版。最新SCI影响因子4.4,位于SCI-JCR农业综合学科Q1区。中国科学院分区农林科学1区。2016年以来先后获得中国科协等部委 “提升计划”“登峰计划”“卓越计划”项目支持。
Archiver|手机版|科学网 ( 京ICP备07017567号-12 )
GMT+8, 2026-4-23 22:50
Powered by ScienceNet.cn
Copyright © 2007- 中国科学报社