||
在干旱加剧与农业用水约束趋严的背景下,解析作物气孔导度调控的生理基础及其对水分利用效率(water-use efficiency,WUE)的影响,是理解作物用水策略与抗旱适应的重要科学问题。棉花作为重要经济作物,其气孔导度直接决定叶片尺度碳同化与水分散失之间的平衡关系。然而,气孔导度受叶片水分运输能力限制的具体水力学机制尚不清晰,尤其是叶片内部不同水分运输通路在调控气孔导度中的相对贡献缺乏系统定量。
近期,北京林业大学林学院樊大勇教授团队与石河子大学农学院张亚黎教授团队合作完成的题为“Critical role of outside xylem hydraulic conductance in regulating stomatal conductance and water use efficiency in cotton across different planting densities””的研究在Journal of Integrative Agriculture(JIA)2026年3期正式发表。
研究团队以棉花为研究对象,设置8个种植密度,从叶片水力学视角出发,重点解析叶片木质部内与木质部外水力导度变化及其在气孔导度调控及水分利用效率形成中的作用机制,旨在阐明气孔导度调控的水力学调控机制。
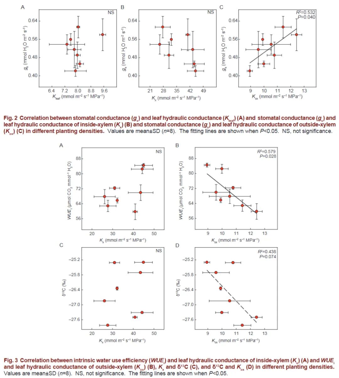
研究结果表明,随种植密度增加,叶片水力导度(Kleaf)与净光合速率(AN)整体保持稳定,而叶片木质部外水力导度(Kox)与气孔导度(gs)显著下降。相关性分析显示,Kleaf与叶片木质部外水力导度(Kx)与gs或AN不相关,而Kox与gs之间呈显著正相关关系,表明木质部外水力通路是限制气孔导度的关键水力环节。与此同时,Kox与WUE显著负相关,说明通过降低Kox约束水分损耗,在不显著牺牲AN的前提下,可实现WUE的提升。结构分析进一步揭示,叶片厚度与细胞间隙体积分数是影响Kox的关键解剖学因素,提示叶片微结构特征在水分跨叶片组织传输能力调控中具有重要作用。

该研究从水力导度分配的角度,为解释“Kleaf–gs耦合关系并非总是成立”的争议提供了机制性证据,明确了木质部外水力通路在调控气孔导度及水分利用效率中的关键作用,为作物高效用水生理机制研究提供了新的理论框架与实验证据。

石河子大学农学院张亚黎教授为该文章的通讯作者,石河子大学农学院陈云瑞博士、北京林业大学林学院樊大勇教授为该文章共同第一作者。该研究得到了天山人才发展计划、新疆生产建设兵团自然科学基金以及新疆维吾尔自治区现代农业产业技术体系,棉花产业技术体系智慧栽培岗位专家的资助。
Cite the article: Yunrui Chen, Dayong Fan, Ziliang Li, Yujie Zhang, Yang He, Minzhi Chen, Wangfeng Zhang, Yali Zhang. 2026. Critical role of outside xylem hydraulic conductance in regulating stomatal conductance and water use efficiency in cotton across different planting densities. Journal of Integrative Agriculture, 25(3): 965-976.
https://doi.org/10.1016/j.jia.2024.11.012
Journal of Integrative Agriculture(《农业科学学报(英文)》, JIA)由中华人民共和国农业农村部主管,中国农业科学院与中国农学会主办,中国农业科学院农业信息研究所承办。综合性英文学术期刊,月刊。创刊于2002年,现任主编为中国科学院院士陈化兰。JIA主要栏目有作物科学、园艺、植物保护、动物科学、动物医学、农业生态环境、食品科学、农业经济与管理等。刊稿类型有综述、研究论文、简报以及评述等。全部论文在Elsevier-ScienceDirect (SD) 平台OA出版。最新SCI影响因子4.4,位于SCI-JCR农业综合学科Q1区。中国科学院分区农林科学1区。2016年以来先后获得中国科协等部委 “提升计划”“登峰计划”“卓越计划”项目支持。
Archiver|手机版|科学网 ( 京ICP备07017567号-12 )
GMT+8, 2026-4-22 23:37
Powered by ScienceNet.cn
Copyright © 2007- 中国科学报社