||
我国茶园种植面积广,病虫害时常发生,尤其在防治螨类害虫时,杀螨剂选择范围有限,亟需筛选新农药进行残留安全评估。乙唑螨腈是一种高效、低毒和负温度系数的新型国产杀螨剂,为茶叶螨类害虫防治提供了一种潜在替代农药,然而乙唑螨腈施用后在茶叶中的残留降解行为和安全风险尚不清楚。
近期,中国农业科学院茶叶研究所茶树病虫害防控团队张新忠课题组完成的题为“Risk assessment and residue behavior of a novel pesticide cyetpyrafen and its metabolites from fresh tea leaves to tea infusion”的研究在Journal of Integrative Agriculture(JIA)2026年3期正式发表。
该研究建立了一种不同茶叶样品中乙唑螨腈及其代谢物(M-309、M-325-1和M-409-3)残留量同时检测的超高效液相色谱串联质谱分析方法,并用来研究30%乙唑螨腈悬浮剂在茶园施用后,乙唑螨腈及其代谢物从茶园到茶杯中的残留降解行为。

对样品采用乙腈/水提取,盐析后,通过优化提取净化方法,最终采用MWCNT、PSA和MgSO4净化提取液,过膜后浓缩,乙腈溶解定容后再结合低温冷冻净化,过膜后采用Lux® 3 μm Cellulose-2色谱柱,0.1%甲酸乙腈和0.05%甲酸水作为流动相进行梯度洗脱分离乙唑螨腈及其三种代谢物,超高效液相色谱串联质谱基质外标法进行定量分析,四种目标化合物的平均回收率为73.4%—106.2%,相对标准偏差(RSD)低于12.0%,能够满足残留分析的需要。



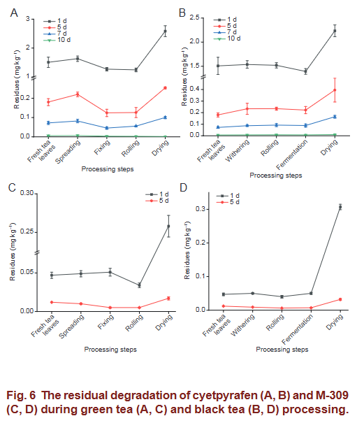
在茶园田间喷施30%乙唑螨腈悬浮剂后,间隔不同时间采摘茶鲜叶进行分析,结果表明乙唑螨腈在茶鲜叶生长的消解半衰期为0.59天,主要代谢产物为M-309;乙唑螨腈和代谢物M-309的残留量受茶叶不同加工阶段的影响,特别是受杀青、干燥和萎凋过程中的失水和高温影响。施药后第1、5和7天分别采样茶鲜叶加工成绿茶和红茶,乙唑螨腈的总加工系数分别为1.39—1.71(绿茶)和1.48—2.28(红茶);将绿茶和红茶冲泡茶汤时,乙唑螨腈的浸出率分别为7.4%和6%;膳食风险评估结果表明饮茶中摄入乙唑螨腈的风险较低,风险熵低于100%。然而,理论计算表明,乙唑螨腈代谢物对非目标生物存在潜在危害,需要值得注意。


研究结果为在茶园中安全合理施用乙唑螨腈提供了参考。
中国农业科学院茶叶研究所茶树病虫害防控创新团队张新忠研究员为论文的通讯作者,中国农业科学院茶叶研究所25届毕业硕士胡月为论文第一作者。研究得到国家重点研发计划项目(2022YFD1600803)、国家自然科学基金面上项目(31772077)、云南省茶产业技术创新中心项目(202505AK340010)和中国农业科学院农业科技创新工程(CAAS-ASTIP-2021-TRI)的资助。
Cite the article: Yue Hu, Yating Ning, Yan Zhao, Yaqi Wang, Fengjian Luo, Li Zhou, Xinzhong Zhang. 2026. Risk assessment and residue behavior of a novel pesticide cyetpyrafen and its metabolites from fresh tea leaves to tea infusion. Journal of Integrative Agriculture, 25(3): 1286-1296. https://doi.org/10.1016/j.jia.2026.01.001 Journal of Integrative Agriculture(《农业科学学报(英文)》, JIA)由中华人民共和国农业农村部主管,中国农业科学院与中国农学会主办,中国农业科学院农业信息研究所承办。综合性英文学术期刊,月刊。创刊于2002年,现任主编为中国科学院院士陈化兰。JIA主要栏目有作物科学、园艺、植物保护、动物科学、动物医学、农业生态环境、食品科学、农业经济与管理等。刊稿类型有综述、研究论文、简报以及评述等。全部论文在Elsevier-ScienceDirect (SD) 平台OA出版。最新SCI影响因子4.4,位于SCI-JCR农业综合学科Q1区。中国科学院分区农林科学1区。2016年以来先后获得中国科协等部委 “提升计划”“登峰计划”“卓越计划”项目支持。
Archiver|手机版|科学网 ( 京ICP备07017567号-12 )
GMT+8, 2026-5-18 21:01
Powered by ScienceNet.cn
Copyright © 2007- 中国科学报社