||
水稻是全球最重要的粮食作物之一,优化氮肥管理以实现高产高效生产对保障粮食安全具有重要意义。传统分次施用尿素的方式虽能提高产量,但劳动成本高、效率低。缓控释氮肥一次性基施被认为是替代分次施肥的有效策略,然而如何准确评估其氮素供应特性以匹配水稻全生育期需求,仍是当前研究的难点。以往多关注肥料氮素释放规律,而忽略了其在土壤-作物系统中的实际供应效果,亟需建立一种更普适、可靠的评估方法。
近期,南京农业大学水稻栽培团队完成的题为“Optimizing rice yield: Evaluating the nitrogen supply characteristics of slow- and controlled-release fertilizers using the leaf nitrogen balance index” 的研究在Journal of Integrative Agriculture (JIA) 2025年11期正式发表。
作者通过系统评估不同类型缓控释氮肥的氮素供应特性,提出了一种基于叶片氮平衡指数诊断缓控释氮肥氮素供应特性的方法,并探索了其一次性基施对水稻产量和氮肥利用效率的影响。
研究表明,叶片氮平衡指数的动态变化能准确反映不同缓控释氮肥的氮素供应能力,并据此将其划分为短效、中效和长效类型。其中,短/中效肥与长效肥混合施用,可实现全生育期氮素均衡供应,显著提高水稻产量(平均增幅为5.5%)和氮肥利用率(平均增幅为42.8%)。研究强调了在水稻全生育期内实现氮素同步供应的重要性,尤其指出长效型缓控释氮肥的关键作用,为水稻轻简化、绿色高效生产提供了新的见解。

图1 不同处理下水稻上部第三片叶的氮平衡指数(NBI)值变化

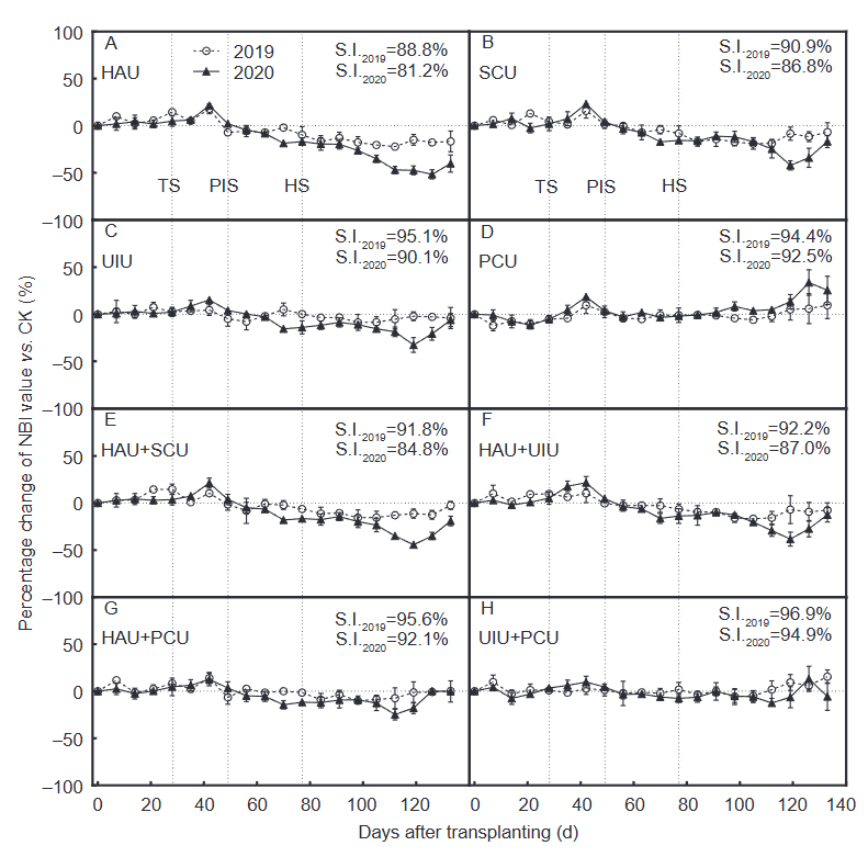
图2 不同缓控释氮肥处理下氮平衡指数(NBI)值相对于对照(CK)的百分比变化

图3 不同缓控释氮肥处理下水稻产量与同步指数的关系
南京农业大学博士研究生陶伟科为该文第一作者,李刚华教授和李伟玮助理研究员为共同通信作者。该研究得到江苏省自然科学基金(BK20200539)、江苏省重点研发计划(BE2019377和BE2019343)和苏州市科技计划项目(ST202228)的资助。
论文信息: Chang Liu, Lei Tian, Wenbo Yu, Yu Wang, Ziqing Yao, Yue Liu, Luomiao Yang, Chunjuan Liu, Xiaolong Shi, Tao Liu, Bingru Chen, Zhenguo Wang, Haiqiu Yu, Yufei Zhou. 2025. Natural variation in SbTEF1 contributes to salt tolerance in sorghum seedlings. Journal of Integrative Agriculture, 24(11): 4168-4181.
https://doi.org/10.1016/j.jia.2024.03.010
Journal of Integrative Agriculture (《农业科学学报》(英文), JIA) 由中华人民共和国农业农村部主管,中国农业科学院与中国农学会主办,中国农业科学院农业信息研究所承办。综合性英文学术期刊,月刊。创刊于2002年,现任主编为中国科学院院士陈化兰。JIA主要栏目有作物科学、园艺、植物保护、动物科学、动物医学、农业生态环境、食品科学、农业经济与管理等。刊稿类型有综述、研究论文、简报以及评述等。全部论文在Elsevier-ScienceDirect (SD) 平台OA出版。最新SCI影响因子4.4,位于SCI-JCR农业综合学科Q1区。中国科学院分区农林科学1区。2016年以来先后获得中国科协等部委 “提升计划”“登峰计划”“卓越计划”项目支持。
Archiver|手机版|科学网 ( 京ICP备07017567号-12 )
GMT+8, 2025-12-27 10:08
Powered by ScienceNet.cn
Copyright © 2007- 中国科学报社