heroboy的个人博客分享 http://blog.sciencenet.cn/u/heroboy

博文

[转载]Nat Commun | 高福/王亚楠等合作发布全球沙门菌耐药图谱,揭示百年耐药驱动因素

已有 1930 次阅读 2025-5-22 12:02 |个人分类:数据库|系统分类:论文交流|文章来源:转载

近日,河南农业大学王亚楠教授课题组与中国科学院微生物研究所高福院士团队等合作在《Nature Communications》发表题为“A global atlas and drivers of antimicrobial resistance in Salmonella during 1900-2023”的研究论文。该研究通过对来自全球六大洲148个国家/地区的20.8万个沙门菌基因组数据进行分析,首次绘制了全球尺度、高分辨的沙门菌遗传图谱,揭示了百年耐药趋势与驱动因素(如抗生素使用、农业活动、气候变化、环境卫生、城市发展、基础设施、国际贸易和社会经济等因素)。

图片

论文链接:https://doi.org/10.1038/s41467-025-59758-3

沙门菌是重要的食源性病原菌,耐药性日益严峻,被世界卫生组织列入对人类健康威胁的2024细菌类重点病原体清单。尽管以往的多个国家和地区已采用表型或基因组学方法监测/调查了区域性沙门菌的抗微生物药物耐药性(AMR)的时空分布特征,如中国科研工作中前期构建了综合性的沙门菌菌株库和开源的沙门菌基因组数据库https://nmdc.cn/clsgdbv2;已被全球访问和使用~12万次),系统揭示了我国近 20 年沙门菌 30 种优势血清型及耐药性时空演变规律(相关研究入选ESI  高被引论文2024  年  National Science Review  最佳论文奖),证实气候、社会和经济等因素与中国沙门菌耐药性水平的发展呈显著正相关但在全球尺度范围内的沙门菌耐药图谱和耐药性演变驱动因素的研究仍有不足。

图片

全球高质量沙门菌基因组目录的构建和总结

该研究基于One Health策略,利用全球六大洲148个国家/地区的>47万沙门菌基因组数据通过质量控制、生信分析筛选构建了一个高质量、全球尺度的沙门菌基因组数据集,含有20.8万个沙门菌基因组,覆盖了6个肠道亚种,708个血清型和3006个序列型(图1)。图片图片

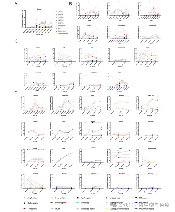
研究表明,AMR因地理位置、宿主来源、血清型和序列型而表现出差异化特征(表1)。六大洲的AMR水平总体上呈现上升趋势(图2)。多种沙门菌血清型基因组耐药基因个数呈现增加的趋势,如阿贡纳、鸭、德尔卑、都柏林、海德堡、鼠伤寒单相变种、婴儿、肯塔基、姆班达卡、慕尼黑、山夫登堡和伤寒(图3)。鸡、食品、野生动物和环境中的AMR水平有所增加,而牛、猪和火鸡中的AMR水平有所下降。

图片

图2 全球沙门菌AMR演变

AMR上升的重要原因是对应抗生素耐药基因型的检出率呈现增加趋势,例如,在北美洲,fosA3blaCTX-M-65aph(4)-IaqnrB19gyrA p.D87NgyrA p.S83YparC p.S80I的检出率增加。在非洲,fosA7qnrB19gyrAp.D87NgyrA p.S83FgyrAp.S83YparC p.S80IparCp.T57S的检出率增加。在欧洲,blaCMY-2blaTEM-106blaTEM-135fosA4mph(A)qnrB19的检出率增加。在大洋洲,fosA7qnrS1sul3cmlA1blaCTX-M-55mph(A)mcr-3.1parCp.T57SgyrA p.D87N的检出率增加。在亚洲,blaCTX-M-55blaLAP-2blaOXA-10mph(A)qnrS1gyrAp.D87NparC p.S80I的检出率增加。在南美洲,blaCTX-M-65mph(A)qnrB19的检出率增加。此外,耐药基因和血清型、地理分布、宿主来源和序列型有显著的相关性。

图片

耐药基因在不同时间、地理位置、宿主来源、血清型的分布特征

除了可移动遗传元件(如质粒)可以驱动耐药性演变(图4),研究还发现多种因素,如动物和人类的抗生素消费、农业活动、气候变化、环境卫生、城市发展、基础设施、国际贸易和社会经济等因素与沙门菌AMR水平显著正相关。图片图4 质粒复制子在不同时间、地理位置、宿主来源、血清型的分布特征此外,基于全球基因组大数据还监测了一种鼠伤寒沙门菌粗糙型新变异体MRDARST的时空分布及传播演化特征,至少已在6大洲12个国家检出,而且出现了对磷霉素耐药的克隆(图5)。图片

全球MRDRST基因组的遗传特征和传播演化

总之,该研究基于One Health构建了沙门菌基因组大数据集,首次绘制了全球高分辨率的沙门菌基因组遗传图谱,揭示了百年耐药演变驱动因素和耐药高风险地区,为监测与溯源全球沙门菌的多重耐药克隆演化提供高质量的资源数据集群,有助于决策者在高风险地区采取有效的干预措施,对以临床为导向的传播机制探索提供重要理论基础。

河南农业大学动物医学院国家动物免疫学国际联合研究中心王亚楠教授(校级特聘教授)与中国科学院微生物研究所高福院士为论文通讯作者。河南农业大学王亚楠教授、王亚楠教授课题组2023级硕士生曲梦琪、上海市疾病预防控制中心许学斌教授、天津医科大学基础医学院贾书磊副教授为论文共同第一作者。河南农业大学动物医学院李建丽教授、张二芹副教授和万博副教授,中国人民解放军疾病预防控制中心邱少富研究员,华南农业大学兽医学院张建民教授,中国农业大学动物科技学院胡永飞教授和中国科学院微生物研究所朱宝利研究员等参与了此项研究。研究得到了河南省科技研发计划联合基金青年科学家、国家重点研发计划、河南农业大学“拔尖人才”等项目的资助。研究得到了河南省科技研发计划联合基金青年科学家、国家重点研发计划、河南农业大学“拔尖人才”等项目的资助。

王亚楠教授课题组立足于国家战略需求“公共卫生/食品安全/环境健康”,围绕微生物组与耐药基因组、组学大数据与人工智能、人兽共患病与食品安全、病原微生物耐药与防控等方面开展研究,在Nature CommunicationsNational Science ReviewJournal of Hazardous MaterialsJournal of Infection等期刊发表多篇论文,取得了多项原创性科研成果邮箱wangyanan1001@henau.edu.cn



https://blog.sciencenet.cn/blog-3597167-1486721.html


下一篇:[转载]河南农业大学王亚楠联合复旦大学附属闵行医院陈明亮等在Nature旗下Commun Med发表非伤寒沙门菌耐药与基因组学新
收藏 IP: 59.70.63.*| 热度|

0

该博文允许注册用户评论 请点击登录 评论 (0 个评论)

数据加载中...
扫一扫,分享此博文

Archiver|手机版|科学网 ( 京ICP备07017567号-12 )

GMT+8, 2025-12-23 04:41

Powered by ScienceNet.cn

Copyright © 2007- 中国科学报社

返回顶部