lvxiangyang的个人博客分享 http://blog.sciencenet.cn/u/lvxiangyang

博文

地表蒸散发遥感产品信息提取验证与融合实践技术应用

已有 1497 次阅读 2025-7-31 11:30 |个人分类:生态学|系统分类:科研笔记

蒸散发是陆地水循环重要变量,同时对农业水资源规划与管理、全球环境变化等研究异常关键。蒸散发遥感产品信息提取

常用蒸散发产品的下载、处理与信息提取

目前,全球有将近几十种地表蒸散发产品,本课程挑选了9种常用的地表蒸散发产品,并详细讲解这些产品的下载,并利用Python程序进行遥感信息的提取、可视化、信息统计等。

产品名称

描述

时空范围

时空分辨率

GLEAM

P-T算法

1980-2020,全球

25km,逐日

MOD16

MODIS产品

2001-今,全球

0.5km,逐日

CR-ET

互补相关模型

1982-2017,中国

1982-2016,全球

10km,逐月

25km,逐月

GLASS

BMA融合算法

2000-2018,全球

1982-2018,全球

1km,8天

5km,8天

GLDAS

Noah模型

1948-2015,全球

25km,逐月

ERA5-Land

ECWMF同化系统再分析资料

1950-今,全球

10km,小时/月

FLUXCOM

机器学习

2001-2015,全球

50km/8km,逐月/8天

PML-V2

P-M算法

2002-2019,全球

5km,8天

农田蒸散发

机器学习

2001-2015,华北平原

1km,8天

FLUXNET2015站点分布

Ø 站点数据的下载与处理

讲解涡动相关系统观测数据的下载与处理。

涡动相关系统观测数据存在能量不闭合的问题,比如:Rn-G>H+LE

因此,本课程将讲解涡动相关系统的能量闭合订正,土壤热通量缺失数据的插补等数据处理操作。

Ø 站点数据验证方法实践

利用处理好的观测数据对蒸散发产品进行整体精度评价,时间变化趋势分析等。

流域水量平衡验证

水量平衡验证是以流域或子流域为验证单元,在多年尺度(无陆地总储水量变化数据)和月尺度(有陆地总储水量变化数据)对多种蒸散发产品进行验证的方法

 

水量平衡组分示意图

Ø 水量平衡各分量的数据准备

水量平衡方法各个分量的数据准备,包括:降水、径流等;ET=P-R-△S

Ø 水量平衡验证方法与实践

利用水量平衡方法对地表蒸散发进行流域总体验证与分析。

区域相对误差验证Ø 多源遥感数据的空间匹配与重采样

对多源遥感数据产品进行空间尺度的匹配、重采样等。

Ø 帽方法与蒸散发区域评价

在没有“真值”的情况下,利用帽方法对多种遥感产品进行相对误差的逐像元评价。

图片

蒸散发产品的融合

贝叶斯融合原理及实践

讲解贝叶斯融合原理、以及使用贝叶斯方法进行多种数据产品的融合实践操作,获得更高精度的蒸散发数据集。

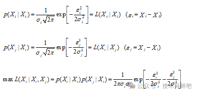
Ø 贝叶斯原理介绍

图片

Ø 基于贝叶斯原理的多种产品融合

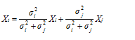
两种产品融合方法:

图片

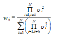
多种产品融合权重:

图片

原文:地表蒸散发遥感产品信息提取验证与融合实践技术应用



https://blog.sciencenet.cn/blog-3595493-1495939.html

上一篇:基于Python语言快速批量运行DSSAT模型及交叉融合、扩展应用
下一篇:Noah-MP陆面过程模型建模方法与站点、区域模拟实践技术应用
收藏 IP: 111.225.72.*| 热度|

1 王涛

该博文允许注册用户评论 请点击登录 评论 (0 个评论)

数据加载中...

Archiver|手机版|科学网 ( 京ICP备07017567号-12 )

GMT+8, 2025-12-25 04:59

Powered by ScienceNet.cn

Copyright © 2007- 中国科学报社

返回顶部