liuzhiming69的个人博客分享 http://blog.sciencenet.cn/u/liuzhiming69

博文

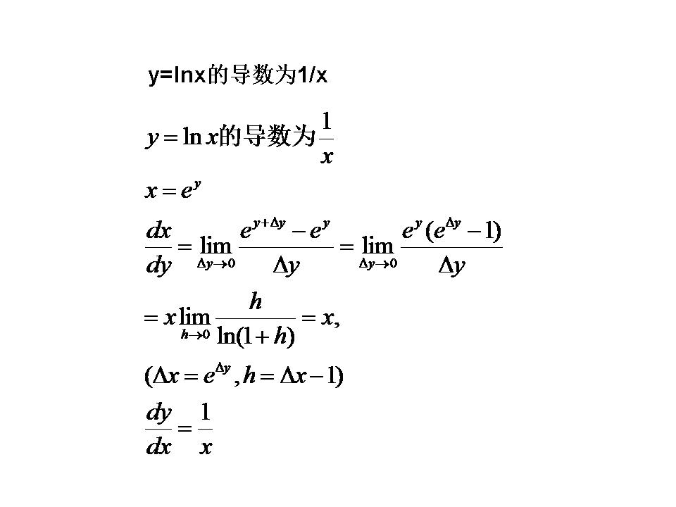
y=lnx的导数为1/x

已有 541 次阅读 2026-4-29 10:59 |系统分类:科研笔记

演示文稿1.jpg



https://blog.sciencenet.cn/blog-3556836-1532701.html

上一篇:sinx/x在0至∞上的积分
下一篇:证明x+y=1(x,y均为正实数),x^(2y)+y^(2x)≤1?
收藏 IP: 121.28.181.*| 热度|

0

该博文允许注册用户评论 请点击登录 评论 (1 个评论)

数据加载中...

Archiver|手机版|科学网 ( 京ICP备07017567号-12 )

GMT+8, 2026-5-30 06:35

Powered by ScienceNet.cn

Copyright © 2007- 中国科学报社

返回顶部