liuzhiming69的个人博客分享 http://blog.sciencenet.cn/u/liuzhiming69

博文

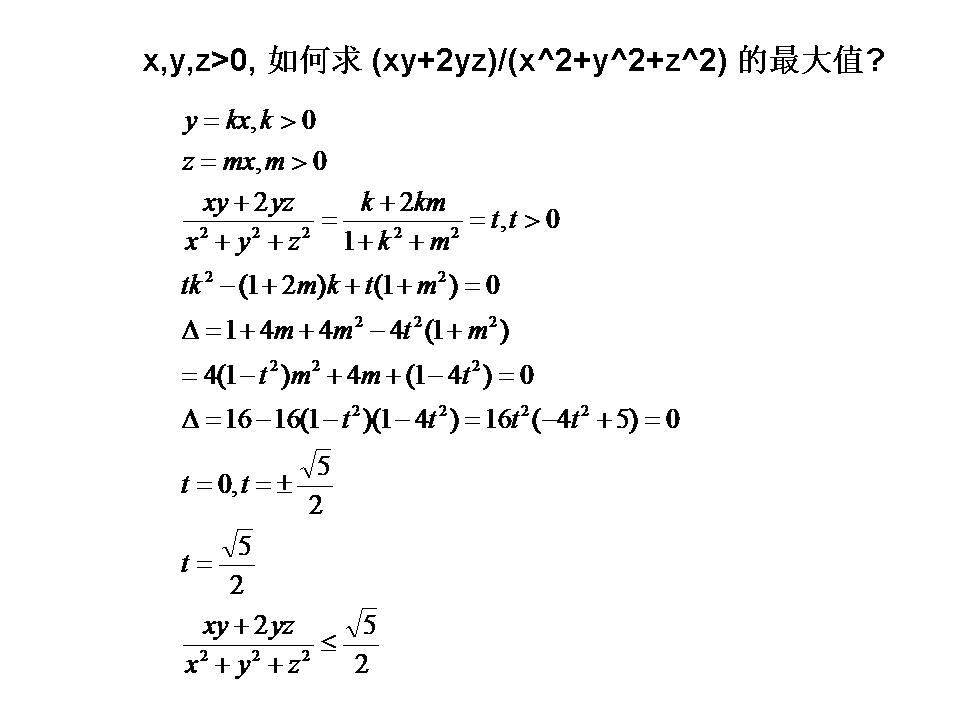
x,y,z>0, 如何求 (xy+2yz)/(x^2+y^2+z^2) 的最大值?

已有 499 次阅读 2026-4-28 10:25 |系统分类:科研笔记

演示文稿1.jpg



https://blog.sciencenet.cn/blog-3556836-1532520.html

上一篇:为啥dxdy=rdrdθ之六
下一篇:0<a<1,求1/2(1-a^2)(1+a)/(2-a)的最大值
收藏 IP: 121.28.181.*| 热度|

0

该博文允许注册用户评论 请点击登录 评论 (0 个评论)

数据加载中...

Archiver|手机版|科学网 ( 京ICP备07017567号-12 )

GMT+8, 2026-5-30 11:49

Powered by ScienceNet.cn

Copyright © 2007- 中国科学报社

返回顶部