liuzhiming69的个人博客分享 http://blog.sciencenet.cn/u/liuzhiming69

博文

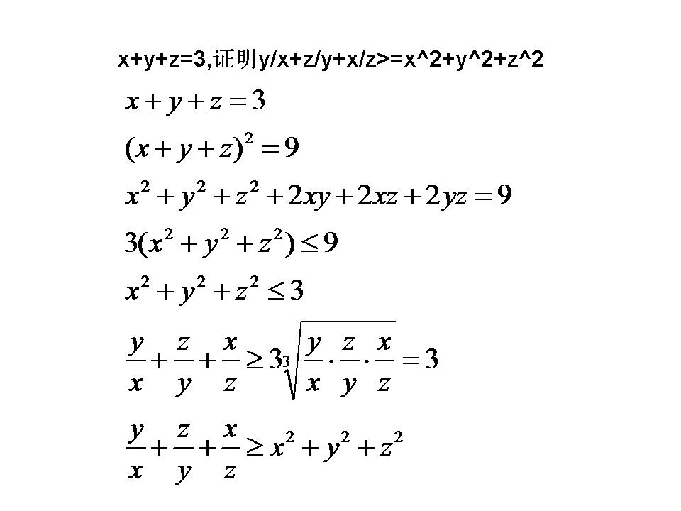
x+y+z=3,证明y/x+z/y+x/z>=x^2+y^2+z^2

已有 399 次阅读 2026-3-11 17:21 |系统分类:科研笔记

演示文稿1.jpg



https://blog.sciencenet.cn/blog-3556836-1525382.html

上一篇:佩尔方程x^2-Dy^2=1的正整数解
下一篇:x,y,z>0,x+y+z=3,证明y/x+z/y+x/z>=x^2+y^2+z^2
收藏 IP: 121.28.181.*| 热度|

0

该博文允许注册用户评论 请点击登录 评论 (1 个评论)

数据加载中...

Archiver|手机版|科学网 ( 京ICP备07017567号-12 )

GMT+8, 2026-4-4 22:43

Powered by ScienceNet.cn

Copyright © 2007- 中国科学报社

返回顶部