liuzhiming69的个人博客分享 http://blog.sciencenet.cn/u/liuzhiming69

博文

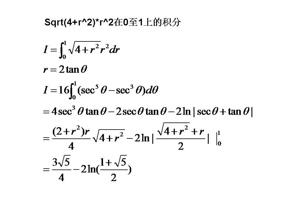
Sqrt(4+r^2)*r^2在0至1上的积分

已有 479 次阅读 2025-12-1 08:13 |系统分类:科研笔记

演示文稿1.jpg



https://blog.sciencenet.cn/blog-3556836-1512391.html

上一篇:薛定谔方程关于伽利略变换协变性证明方法之一
下一篇:sqrt(r^2+4)*r^2在0至1上的积分方法之一
收藏 IP: 121.28.181.*| 热度|

1 王涛

该博文允许注册用户评论 请点击登录 评论 (0 个评论)

数据加载中...
扫一扫,分享此博文

Archiver|手机版|科学网 ( 京ICP备07017567号-12 )

GMT+8, 2026-4-25 22:38

Powered by ScienceNet.cn

Copyright © 2007- 中国科学报社

返回顶部