liuzhiming69的个人博客分享 http://blog.sciencenet.cn/u/liuzhiming69

博文

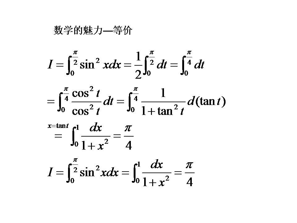
数学的魅力—等价

已有 183 次阅读 2025-11-17 07:04 |系统分类:科研笔记

演示文稿1.jpg



https://blog.sciencenet.cn/blog-3556836-1510489.html

上一篇:数学的魅力—回头望月
下一篇:拉格朗日法求6*sqrt(3)*sinx-42*cosx的最大值
收藏 IP: 121.28.181.*| 热度|

0

该博文允许注册用户评论 请点击登录 评论 (0 个评论)

数据加载中...

Archiver|手机版|科学网 ( 京ICP备07017567号-12 )

GMT+8, 2025-12-20 02:08

Powered by ScienceNet.cn

Copyright © 2007- 中国科学报社

返回顶部