liuzhiming69的个人博客分享 http://blog.sciencenet.cn/u/liuzhiming69

博文

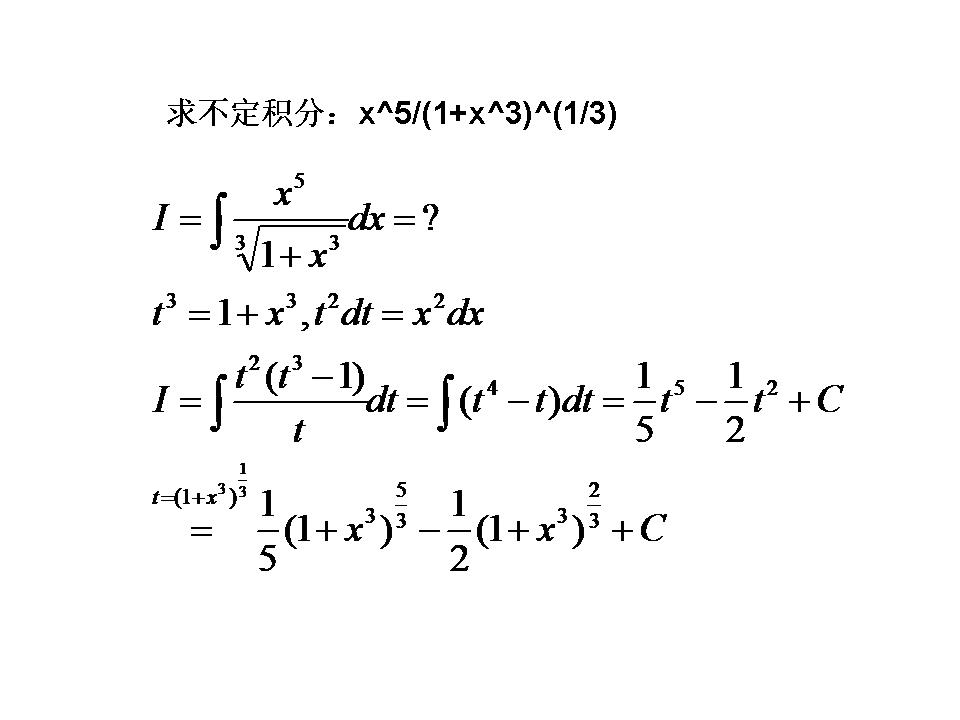
求不定积分:x^5/(1+x^3)^(1/3)

已有 579 次阅读 2025-11-10 07:07 |系统分类:科研笔记

演示文稿1.jpg



https://blog.sciencenet.cn/blog-3556836-1509586.html

上一篇:张祥前公式的超级时空相对论及电磁力方法详细推导
下一篇:长2L杆子受光滑曲面和垂直面的力,能平衡地呆着,求曲面方程
收藏 IP: 121.28.181.*| 热度|

1 王涛

该博文允许注册用户评论 请点击登录 评论 (0 个评论)

数据加载中...
扫一扫,分享此博文

Archiver|手机版|科学网 ( 京ICP备07017567号-12 )

GMT+8, 2026-4-23 11:43

Powered by ScienceNet.cn

Copyright © 2007- 中国科学报社

返回顶部