liuzhiming69的个人博客分享 http://blog.sciencenet.cn/u/liuzhiming69

博文

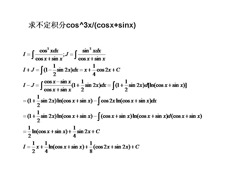
求不定积分cos^3x/(cosx+sinx)

已有 315 次阅读 2025-10-29 07:11 |系统分类:科研笔记

演示文稿1.jpg



https://blog.sciencenet.cn/blog-3556836-1507896.html

上一篇:椭圆积分函数在1/sinx自0至2*pi的积分中的应用
下一篇:已知三条边长,求三角形的面积
收藏 IP: 121.28.181.*| 热度|

1 王涛

该博文允许注册用户评论 请点击登录 评论 (0 个评论)

数据加载中...

Archiver|手机版|科学网 ( 京ICP备07017567号-12 )

GMT+8, 2025-12-23 12:15

Powered by ScienceNet.cn

Copyright © 2007- 中国科学报社

返回顶部