liuzhiming69的个人博客分享 http://blog.sciencenet.cn/u/liuzhiming69

博文

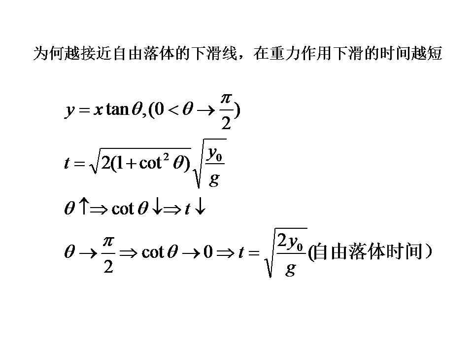
为何越接近自由落体的下滑线,在重力作用下滑的时间越短

已有 715 次阅读 2025-10-17 15:45 |系统分类:科研笔记

演示文稿1.jpg



https://blog.sciencenet.cn/blog-3556836-1506335.html

上一篇:不同下滑曲线的运动时间比较
下一篇:在重力作用下,从A点至B点不同曲线所用时间
收藏 IP: 121.28.181.*| 热度|

1 王涛

该博文允许注册用户评论 请点击登录 评论 (0 个评论)

数据加载中...
扫一扫,分享此博文

Archiver|手机版|科学网 ( 京ICP备07017567号-12 )

GMT+8, 2026-4-25 06:02

Powered by ScienceNet.cn

Copyright © 2007- 中国科学报社

返回顶部