liuzhiming69的个人博客分享 http://blog.sciencenet.cn/u/liuzhiming69

博文

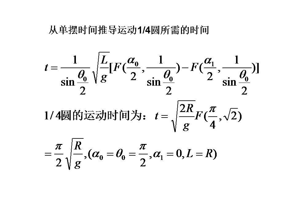
从单摆时间推导运动1/4圆所需的时间

已有 631 次阅读 2025-10-15 16:45 |系统分类:科研笔记

演示文稿1.jpg



https://blog.sciencenet.cn/blog-3556836-1506078.html

上一篇:根据运动轨迹和能量守恒求1/4圆曲线的运动时间
下一篇:证明点(x0,y0)至直线Ax+By+C=0的距离公式
收藏 IP: 121.28.181.*| 热度|

0

该博文允许注册用户评论 请点击登录 评论 (0 个评论)

数据加载中...
扫一扫,分享此博文

Archiver|手机版|科学网 ( 京ICP备07017567号-12 )

GMT+8, 2026-4-25 18:11

Powered by ScienceNet.cn

Copyright © 2007- 中国科学报社

返回顶部