liuzhiming69的个人博客分享 http://blog.sciencenet.cn/u/liuzhiming69

博文

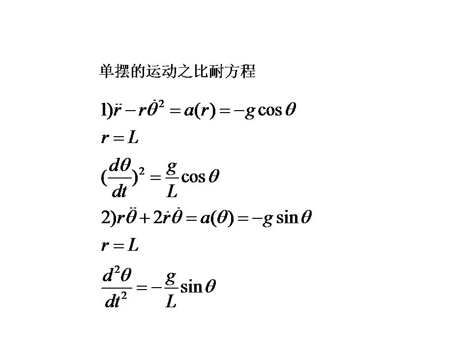
单摆的运动之比耐方程

已有 579 次阅读 2025-10-14 09:23 |系统分类:科研笔记

演示文稿1.jpg



https://blog.sciencenet.cn/blog-3556836-1505848.html

上一篇:单摆的运动时间与周期计算之切向方程
下一篇:单摆的运动时间和周期的两个正确结果
收藏 IP: 121.28.181.*| 热度|

1 王涛

该博文允许注册用户评论 请点击登录 评论 (2 个评论)

数据加载中...
扫一扫,分享此博文

Archiver|手机版|科学网 ( 京ICP备07017567号-12 )

GMT+8, 2026-4-26 02:25

Powered by ScienceNet.cn

Copyright © 2007- 中国科学报社

返回顶部