||
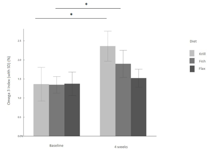
Omega-3指数 (O3I) 反映红细胞膜中EPA+DHA (EPA=二十碳五烯酸,ARA=花生四烯酸) 的比例,是评估犬只长期Omega-3营养状况的核心健康指标。45只犬只食用优质商业犬粮38天后,基线O3I仅为1.36%,处于较低水平。随后为其分别补充磷虾粉、鱼粉/鱼油、亚麻籽粕三种不同来源的Omega-3,四周后检测发现,磷虾组O3I增幅最大 (从1.36%升至2.36%),鱼油组也呈显著上升趋势 (升至1.9%),而亚麻籽组因仅含短链ALA,未能显著提高O3I。
该研究由瑞典农业科学大学Hanna Lindqvist博士及其团队完成,核心结论为:只有海洋来源的长链Omega-3 (EPA、DHA) 能有效提升犬只O3I,其中磷虾的补充效果最佳,还能让犬只获得更佳的免疫相关脂肪酸比例;O3I也可作为宠物主人评估狗狗饮食中Omega-3是否充足的便捷工具。

图释:本文涉及试验数据为磷虾组、鱼组和亚麻籽组 (n = 45) 的ω-3指数及其标准差 (%) 相关统计结果。
研究过程与结果
本研究的核心目的为比较磷虾粉、鱼粉/鱼油、亚麻籽粕三种Omega-3来源,对犬只O3I及炎症相关脂肪酸比例的实际影响。
试验设计
1. 试验对象:45只2至8岁的阿拉斯加哈士奇,按年龄与性别均匀分为三组。
2. 基线建立:前38天所有犬只统一喂食高能商业犬粮,建立低水平O3I基线,测得平均值约为1.35–1.37%,该数值低于已报道的非竞赛犬 (1.7–3.9%) 及竞赛犬 (>5%) 的O3I水平。
3. 分组饲喂:基线建立后,犬只改喂三种特制生食配方,磷虾组与鱼类组每日分别摄入约416 mg和513 mg的EPA+DHA,亚麻籽组主要摄入短链脂肪酸ALA,EPA+DHA含量极低。
核心试验结果
经过四周针对性饲喂,试验得出核心数据结果,仅海洋来源的长链Omega-3能够显著提升犬只O3I,具体数据如下:
磷虾组O3I由1.36%升至2.36%,增幅达82%,数据变化具有统计学显著性;
鱼类组O3I由1.35%升至1.90%,增幅42%,数据变化具有统计学显著性;
亚麻籽组因ALA难以在犬只体内有效转化为EPA+DHA,O3I未出现显著变化。
进一步分析脂肪酸比例发现,随着犬只体内EPA+DHA含量的增加,红细胞膜中的ARA含量随之下降,引发两项炎症相关脂肪酸比值的明显变化:
1. n-6/n-3比值全面下降,三组降幅依次为:磷虾组37%、鱼类组29%、亚麻籽组17%;
2. 作为核心炎症指标的ARA/EPA比值显著下降,三组降幅依次为:磷虾组40%、鱼类组26%、亚麻籽组14%。

图释:本试验相关n-6/n-3和ARA/EPA比值(含标准差)检测中,星号表示治疗组在基线和研究结束时存在显著差异,数据对比采用Wilcoxon配对符号秩检验。
结果分析
上述脂肪酸比例的改变表明,富含EPA+DHA的海洋脂肪酸能更有效改善犬只的炎症相关脂肪酸构成;而磷虾的补充效果优于鱼油的核心原因是,磷虾中以磷脂形式存在的Omega-3,相较于鱼油中三酰甘油形式的Omega-3,具有更高的组织利用效率。
总体而言,本研究证实商业犬粮难以使犬只达到理想的Omega-3营养状态,海洋长链Omega-3是为犬只补充EPA+DHA、提升O3I和优化体内脂肪酸平衡的关键,其中磷虾来源的Omega-3效果最为显著。同时研究也强调,O3I作为评估犬只Omega-3营养状况的指标具备较高实用性,可为犬只Omega-3的科学补充提供可靠依据。
研究总结
1. O3I可直观反映犬只长期的n-3摄入状况,能有效判断饮食对犬只体内EPA+DHA水平的实际影响;
2. 优质商业犬粮无法使犬只达到理想的O3I水平,仅需4周补充海洋来源的长链Omega-3 (磷虾或鱼类),即可显著提升犬只O3I,并可能为犬只带来抗炎等健康益处;
3. 含3%磷虾粉的犬粮饮食,其磷脂形式的EPA+DHA让犬只O3I的提升幅度比鱼类来源高出约40%,且在减少炎症相关脂肪酸比例方面效果最佳,是极具价值的犬粮添加物;
4. 亚麻籽中的短链ALA无法在犬只体内有效转化为EPA+DHA,因此无法实现O3I的提升,而ALA是否在犬只皮肤和被毛健康等方面具有其他潜在益处,仍需进一步研究验证。
原文出自Veterinary Sciences 期刊:https://www.mdpi.com/2145692
Veterinary Sciences 期刊介绍
主编:Patrick Butaye, Ghent University, Belgium; City University of Hong Kong, China
发表与兽医科学领域相关的原创研究文章、评论、通讯和简短说明,主题包括动物疾病、紊乱和损伤的预防、诊断和治疗。
2024 Impact Factor:2.3
2024 CiteScore:3.5
Time to First Decision:17.8 Days
Acceptance to Publication:2.6 Days
期刊主页:https://www.mdpi.com/journal/vetsci

Archiver|手机版|科学网 ( 京ICP备07017567号-12 )
GMT+8, 2026-5-18 13:19
Powered by ScienceNet.cn
Copyright © 2007- 中国科学报社