||
2025年12月,中国农业科学院农业环境与可持续发展研究所李莲芳团队在农林科学领域期刊 Agronomy 上发表了题为“Waste Algae-Derived Biochar Composites for Synergistic Soil Cd–As Immobilization: Feasibility, Dose–Response Thresholds, and Mechanism”的论文。该研究成功将螺旋藻残渣资源化利用并将其转化为一种新型生物炭复合功能材料,有效地解决了耕地中镉 (Cd) 与砷 (As) 复合污染同步治理这一难题,以剂量效应关系为基础,获得了不同污染程度土壤中材料的最佳用量,为推进污染土壤的精准修复与安全利用贡献了重要科学依据。
研究过程与结果
本研究致力于解决土壤环境中镉与砷在因地球化学行为相悖而难以同步修复的长期难题。传统材料往往无法协调二者对酸碱度和氧化还原条件的不同需求,导致修复效果受限。为此,研究团队融合“废弃物资源化”与“材料功能化” 理念,以废弃螺旋藻残渣为原料,成功制备出负载层状双氢氧化物 (LDH) 和磁性铁氧化物的多功能复合材料 (FSRBL)。结果表明,该材料在低 (Cd:1.5 mg/kg,As:50 mg/kg)、中 (Cd:4 mg/kg,As:100 mg/kg)、高 (Cd:6 mg/kg,As:400 mg/kg) 三种不同污染程度的酸性红壤和石灰性黑土中,均表现出优异的镉砷协同固定能力,可有效将活性态镉、砷转化为稳定的残渣态。在2.5%的添加量下,FSRBL对不同污染程度土壤中镉和砷的固定效率分别达到20.2-60.2%和63.9-93.1%,其性能远超未改性的原始生物炭。

不同添加量下FSRBL及其组分对土壤中Cd (a) 和As (b) 的固定效率总体比较
为进一步指导实际生产应用,研究首次引入逻辑斯蒂模型 (Logistic),量化了FSRBL投加量与镉砷固化效率之间的剂量-效应关系。结果表明,随着施用量增加,修复效率呈明显的“边际效益递减”趋势。通过模型估算,进一步确定了FSRBL对镉和砷的峰值效率分别达到28.1-75.7%和40.5-99.7%,明显优于铁改性生物炭FSRB (Cd:9.94-52.7%;As:18.8-52.8%) 和原始生物炭SRB (Cd:8.38-18.5%;As:6.62-22.3%)。根据六种土壤的试验结果,实现土壤镉和砷钝化效率为30%所需的FSRBL材料适用剂量 (EC30) 依次约为0.79%和1.54%。该成果为污染耕地修复实践提供了可靠的定量化指导,使得相应技术应用过程中能够平衡剂量效应与经济性的关系,避免材料过度使用的高成本问题。
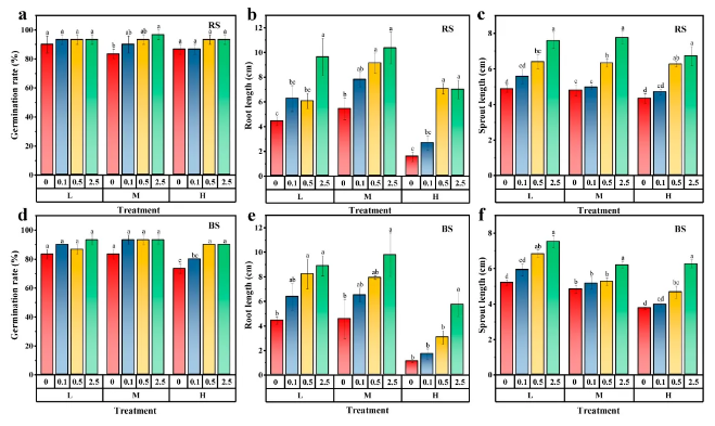
为明确材料的安全性及潜在生态风险,实施了FSRBL对水稻种子萌发影响的生态毒理学实验。结果显示,经FSRBL修复后的土壤,其浸提液的生态毒性显著降低。与未修复土壤相比,水稻种子发芽率提升了 7.14%–22.7%,幼苗根长增长了 90.8%–421%,证实了该修复策略的生态友好性和对植物的安全性。

添加FSRBL对受污染土壤渗滤液毒性的缓解作用:(a,d)—种子发芽率;(b,e)—根长;(c,f)—茎长;土壤类型:红壤 (a–c),黑壤 (d–f);污染梯度:低 (L),中 (M),高 (H)。
借助透射电镜能谱、X射线衍射与X射线光电子能谱等先进表征技术,团队从微观层面揭示了FSRBL的协同固定机制。材料中的LDH组分通过阴离子交换高效吸附As以及表面金属集团配位形成M-O-Cd/As;而磁性铁氧化物组分则能同时通过氧化还原、共沉淀等作用固定Cd与As,最终形成稳定的Fe/Ca/Cd-As(V) 等沉淀矿物。这种多组分协作机制共同实现了镉砷的协同修复。

FSRBL培养前 (a) 和培养后 (b) 的表面元素分布和EDS光谱
研究总结
本研究针对土壤中镉与砷地球化学行为拮抗导致的同步修复难题,以废弃螺旋藻残渣为原料,研制出兼具高效协同固化与生态恢复功能的FSRBL材料,系统探讨了其对不同类型土壤中镉、砷的协同固定作用、机制及生态毒性效应。结果显示,FSRBL通过多组分协同作用,可显著促进土壤中镉砷由活性态向稳定态转化,实现了材料对二者的协同固定,其在当前用量下对土壤镉和砷的固化效率可分别高达60.2%和93.1%,并显著降低污染土壤对水稻的生态毒性。研究首次基于Logistic模型建立了该材料的剂量-响应关系,明确其修复阈值与边际递减规律,为田间精准施用与成本优化提供了科学依据。机理分析的结果表明,FSRBL协同固定镉、砷主要通过LDH组分的表面络合和阴离子交换;磁性铁相的氧化还原与共沉淀作用形成稳定矿物。该研究不仅提供了一种“以废治废”的绿色修复材料,更在定量化修复策略与协同机制解析方面取得重要进展,对推动农田土壤污染精准治理具有显著科学与实践意义。
研究团队介绍
通讯作者
李莲芳(中国农业科学院)
中国农业科学院三级研究员,博士生导师。长期从事农业产地环境安全评估与污染修复技术及产品研发,主要开展重金属等污染物的环境界面过程、水土污染防控机理与技术应用研究。构建了典型流域水环境-沉积物生态风险评估新方法,揭示了集约化农区产地环境污染物累积与控制原理,研发了流域水土污染防控与修复的系列新材料、新技术和新产品。主持并承担了国家重点研发计划、国家自然基金、国家科技支撑计划及部委地方合作项目二十余项,获得省级科技进步一等奖1项,出版专著6部,获国家发明专利授权9项,软件著作权2项。在国内外相关领域的权威期刊 Chemical Engineering Journal、Journal of Hazardous Materials、Journal of Cleaner Production、Science of the Total Environment 等发表论文百余篇。
第一作者
周雪(中国农业科学院)
博士研究生,现就读于中国农业科学院农业环境与可持续发展研究所。主要开展重金属污染修复、水土污染防控机理研究,已在国内外累计发表论文8篇。
阅读英文原文:https://www.mdpi.com/3641994
Agronomy 期刊介绍
主编:Leslie A. Weston, Charles Sturt University, Australia
文章类型包括农学及农业生态学领域的研究型文章及综述,目前已被SCIE (Web of Science) 和Scopus等多个数据库收录。
2024 Impact Factor:3.4
2024 CiteScore:6.7
Time to First Decision:17 Days
Acceptance to Publication:1.8 Days
期刊主页:https://www.mdpi.com/journal/agronomy

Archiver|手机版|科学网 ( 京ICP备07017567号-12 )
GMT+8, 2026-4-25 18:25
Powered by ScienceNet.cn
Copyright © 2007- 中国科学报社