||
研究背景
重金属以高毒性和难降解为特征,随着工业化、城市化及特定维修场所的增多,环境中累积问题加剧。工业废水与市政污水排入水体或农田后,可通过食物链对人体造成危害。铬与砷是其中值得关注的代表:铬按价态以三价和六价存在,毒性与迁移性差异显著;砷以五价砷酸盐和三价亚砷酸盐为主,环境中无机形态毒性更强。传统去除方法如化学沉淀、离子交换、反渗透和溶剂萃取等成本高且易产生二次污染。真菌细胞壁富含可与金属结合的官能团,并分泌多种酶,具备适应高金属、酸碱和温度等逆境的能力。本文以印度哈里亚纳邦受污染土壤为来源,筛选并优化本土真菌用于液相体系中铬与砷的去除效率,明确其应用潜力与种属身份。
研究过程与结果
研究在哈里亚纳邦希萨尔和帕尼帕特两地的11个点位采集到的受污染土样,覆盖汽车维修市场、钢铁与纺织行业周边及使用污水灌溉的农田。理化分析显示,电导率为0.51–2.50 mS/cm,土壤有机碳为0.16%–0.68%。纺织与制革相关点位铬水平较高,分别达1.80 mg/L与2.23 mg/L;汽车维修市场一处点位砷为0.69 mg/L;总体酸碱度差异不大。
基于富集培养,在马铃薯葡萄糖培养基中分别添加50 mg/L三价铬 (氯化铬六水合物) 和10mg/L五价砷 (砷酸钠) 进行扩增,随后在含同等金属浓度的马铃薯葡萄糖琼脂平板上分离,获得19株形态各异的真菌。以最低抑制浓度为指标进行耐受性筛选,结果表明,对铬耐受性最佳的为C1与C3;对砷耐受性最佳的为A2与A6,上述四株在平板上对目标金属的最低抑制浓度均超过5000 mg/L。经乳酚棉蓝显微观察与生化测定,四株均能同化碳水化合物并产果胶酶;其中C1与A2具纤维素酶活性,A6具淀粉酶活性,C3与A6具漆酶活性;形态学上均归为曲霉属。

显微图像 (a) 分离株C1, (b) 分离株C3, (c) 分离株A2, 和 (d) 分离株A6
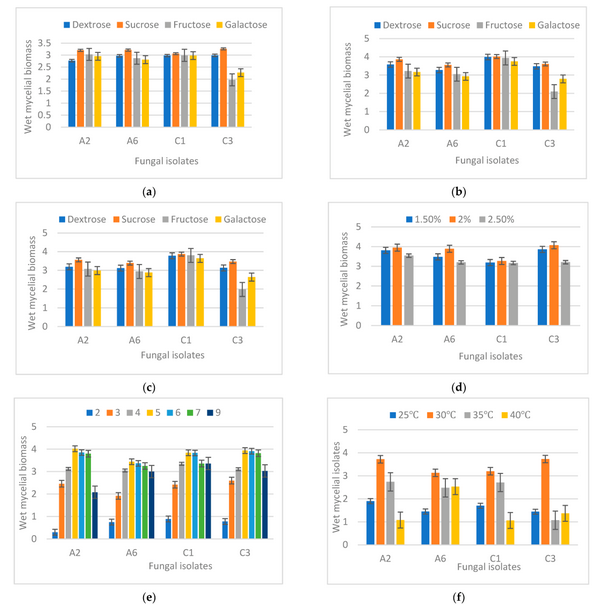
为获得更高生物量以用于后续去除试验,研究者优化了培养条件。在马铃薯葡萄糖培养基中,以蔗糖替代葡萄糖作为碳源进行对比,四株真菌在蔗糖添加量为2% (w/v) 时生长最佳;此时A2、A6、C1和C3的湿重分别为3.95 g、3.89 g、3.27 g与4.07 g。温度优化显示30 °C产量最高;酸碱度方面,pH5时各菌株均达最大生物量,四株湿重分别为4.02 g、3.44 g、3.84 g与3.94 g。

不同条件对真菌分离株生长的影响
在优化条件下评估金属去除性能。将蔗糖为碳源的改良马铃薯葡萄糖培养基分别加入50、100与200 mg/L的铬,或10、50与100 mg/L的砷,调至pH 5于30 °C培养。培养后收集滤液,用原子吸收光谱法测定残余金属浓度,计算去除率。结果显示,铬体系中C1与C3在50 mg/L初始浓度下去除率分别为58.60%与57.00%;当初始浓度为100 mg/L时分别为53.80%与50.00%;在200 mg/L时分别为46.30%与42.20%。砷体系中A2与A6在10 mg/L初始浓度下去除率分别为56.00%与80.00%;在50 mg/L时分别为53.20%与67.00%;高浓度条件下两株的去除率仍保持在约五成以上。不同菌株间性能差异,可能与其采用的金属抗性与去除机制相关,包括胞外络合与沉淀、结晶、生物吸附、价态转化及外排等。

金属去除效果被真菌分离株去除效果
对代表性菌株进行分子鉴定。对C1与A6的核糖体内转录间隔区进行测序,并与美国国家生物技术信息中心数据库序列比对,构建系统发育树。结果将C1鉴定为溜曲霉 (Aspergillus tamarii),A6鉴定为烟曲霉 (Aspergillus ustus),两条序列分别提交至基因库,登录号为OQ179906与OQ179908。

真菌分离株C1的系统发育树

真菌分离株A6的系统发育树
研究总结
本研究从受污染土壤中获取19株真菌,筛得4株对目标金属耐受性突出的候选株,并在液相体系下验证其对铬与砷的去除潜力。经培养条件优化后,曲霉属菌株在弱酸性 (pH 5)、30 °C、蔗糖为碳源且质量体积比为2%的条件下生长旺盛,从而支撑较高去除效率。以代表数据而言,铬在50 mg/L初始浓度时最高去除率达58.60%,砷在10 mg/L初始浓度时最高去除率达80.00%。分子鉴定确定关键功能株分别为溜曲霉与烟曲霉。总体看,真菌依托其细胞壁多糖与蛋白所携带的羧基、磺酸基、氨基、羟基与磷酸基等位点,以及相关代谢酶的作用,能够在液相中实现对铬与砷的显著富集与去除。研究为利用本土真菌开展铬、砷污染生物修复提供了可行的菌源与工艺参数。需要指出的是,本研究基于培养液体系,后续仍需在实际工业或生活废水以及受污染场地中开展验证,以评估环境多因子对去除速率与程度的影响,并探索放大应用的稳定性与可行性。
原文出自 Jox 期刊:https://www.mdpi.com/2039-4713/13/1/13
JoX 期刊介绍
主编:François Gagné, Aquatic Contaminant Research Division, Canada
期刊主题涵盖异型生物质毒素、异型生物质药理学、环境有害异物、内分泌干扰物、氧化应激、抗生素、生物标记物、纳米粒子、塑料微粒、农药、除草剂。期刊现已被 Scopus, ESCI (Web of Science), PubMed 等数据库收录。
2024 Impact Factor:4.4
2024 CiteScore:6.0
Time to First Decision:27.6 Days
Acceptance to Publication:2.9 Days


Archiver|手机版|科学网 ( 京ICP备07017567号-12 )
GMT+8, 2025-12-17 04:16
Powered by ScienceNet.cn
Copyright © 2007- 中国科学报社