menmen的个人博客分享 http://blog.sciencenet.cn/u/menmen

博文

科研经费越多,论文质量越高吗?

已有 1464 次阅读 2025-8-27 09:28 |系统分类:论文交流

科研经费通常被视为高质量研究的催化剂,但经费与论文质量的关系始终存在争议,基金资助真的能提高研究影响力以及推动创新吗?

近期发表在JDIS的一项针对中国传播学领域1769篇国际论文的研究发现:与无资助论文相比,基金资助对提升论文影响力的贡献有限(这可能与传播学的社会科学研究性质有关);但基金资助在推动跨学科研究和引领前沿创新议题方面具有关键作用。

一、研究方法

研究团队使用系统化的多阶段研究方法,对2008-2020年间WoS数据库中中国学者发表的1769篇传播学论文进行了分析:

1 .采用描述性统计,分析论文资助率、类型分布及趋势。

2. 比较不同资助类别论文的多维影响力指标(平均被引率、零被引率、高被引率和平均期刊影响因子)。

3. 评估单源与多源资助论文影响力的差异。

4. 构建学科共现网络,识别跨学科合作模式。

5. 通过聚类与多维尺度分析,解析研究主题分布与结构。

图1. 研究方法流程。

二、研究发现

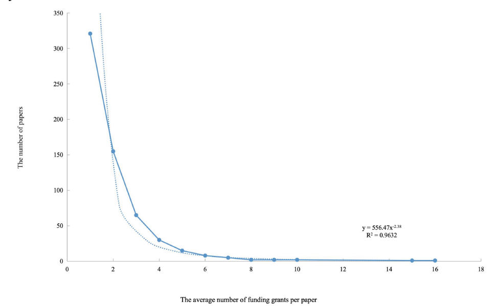
1.基金资助分配不均

在这1769篇论文中,有607篇(占 34.3%)获得了基金资助,而1162篇(占65.7%)未获得资助。52.9%论文仅获单一资助,获得两项资助的论文占25%,仅有极少数论文获得了多项资助,呈现明显的幂律分布。

图2. 论文获得基金资助数量的幂律分布。

2.多源基金资助的影响力优势明显

多源资助论文在所有影响力指标上都优于单源资助论文。多源资助提升了研究的可见度和学术实力。

图3. 单源与多源基金资助论文的学术影响力比较。

3.国际基金资助的影响力效果最佳

  • 将基金资助根据来源分为7大类:国际基金、国家级基金、港澳台基金、省市级基金、高校基金、机构基金和其他基金。

  • 获得国际基金资助的论文的多维影响力指标均优于其他基金类型。

  • 港澳台基金资助论文排名第二,显示其国际化优势。

  • 国家级基金资助论文的影响力与机构基金资助论文的影响力表现相当。

图4. 不同基金类型资助论文的影响力表现。

4.无基金资助论文的影响力表现亮眼

  • 虽然34.3%的论文有资助,但整体上资助论文的学术影响力并未显著高于无基金资助论文。

  • 无基金资助论文的平均被引率(14.8)甚至高于有资助论文。

  • 这可能是因为社会科学研究不需要昂贵设备,有时自由探索更能产生创新。

5.基金资助在推动跨学科和创新方面有关键作用

  • 基金资助论文的跨学科合作网络更加密集和多元化。

  • 获得资助的研究侧重于创新和新兴技术;而未获得资助的论文则倾向经典理论的应用。

  • 获得资助的论文采用先进的分析方法,反映出向数据驱动型学术研究的转变;而未获得资助的论文在方法论创新方面较少。

图5. 基于MDS的资助论文(左)和非资助论文(右)的研究领域主题图谱。

三、启示与建议

1️⃣基金政策需优化:应支持小型探索性项目,避免资源过度集中,鼓励研究课题的多样性。

2️⃣经费≠高影响力:基金能够提升研究影响力,但它并非学术成功的唯一决定因素。

3️⃣鼓励国际合作:国际基金资助论文影响力显著,应加强全球学术合作。4️⃣推动学科交叉:基金资助应优先支持跨学科研究,鼓励创新和解决复杂的社会问题。

欢迎撰文讨论。

Research Papers

How research funding shapes academic outputs: Evidence from communication research paper characteristics and thematic trends in China

基金如何影响学术成果——来自中国传播学论文特征和主题趋势的实证研究

Jean J. Wang1, Shu Wei1, Fred Y. Ye2,3

1School of Journalism and Communication, Shandong University, Jinan 250100, China;2International Joint Informatics Laboratory, Nanjing University, Nanjing 210023, China;3National Experiment Base for Intelligent Evaluation and Governance, Fudan University, Shanghai 200433, China

DOI: 10.2478/jdis-2025-0040

CSTR: 32295.14.jdis-2025-0040



https://blog.sciencenet.cn/blog-3422014-1499258.html

上一篇:隐藏在联合国大会辩论中的国家关系
下一篇:问鼎之路:合作是隐形引擎吗?
收藏 IP: 159.226.100.*| 热度|

2 王涛 郑永军

该博文允许注册用户评论 请点击登录 评论 (0 个评论)

数据加载中...
扫一扫,分享此博文

Archiver|手机版|科学网 ( 京ICP备07017567号-12 )

GMT+8, 2025-12-17 03:19

Powered by ScienceNet.cn

Copyright © 2007- 中国科学报社

返回顶部