||

封面文章
MaterialsGalaxy: A platform fusing experimental and theoretical data in condensed matter physics
Tiannian Zhu(朱天念), Zhong Fang(方忠), Quansheng Wu(吴泉生), and Hongming Weng(翁红明)
Chin. Phys. B, 2025, Vol. 34: 120702
文章亮点介绍
针对材料科学和凝聚态物理研究中实验数据、理论计算与文献知识因格式和来源差异而难以深度融合的“数据孤岛”难题,本文推出了 MaterialsGalaxy 平台(https://materialsgalaxy.iphy.ac.cn)。该平台创新性地采用“结构相似性”驱动的数据融合机制,利用人工智能方法将晶体结构转化为高维数值“指纹”,并结合高效的向量数据库检索技术,打破了多模态数据间的壁垒。这一机制不仅将实验合成记录与理论计算的能带结构、拓扑性质等物性紧密关联,更进一步将从海量科学文献中挖掘出的知识数据纳入统一框架,实现了跨来源数据的深度融合。
目前,MaterialsGalaxy 平台已集成了 500 多万个晶体结构,包含数万种拓扑材料,以及采集自物理所物质科学电子实验室平台(MatElab)的约 2000 条详尽单晶生长实验记录。借助“横向整合”与“纵向比较”的双轴分析模式,平台不仅能为特定材料构建包含实验、理论与文献知识的全方位物理图像,还能基于结构相似性快速推荐同构材料或由集成 AI 模型(如 Con-CDVAE)生成的全新候选材料。该工作成功搭建了连接实验与理论的桥梁,构建了两者相互验证、协同加速的闭环研究生态,为加速凝聚态物理领域的新材料发现提供了全新的智能化数据范式。

Fig. 1. Architecture of the MaterialsGalaxy platform. The platform employs a systematic workflow to fuse heterogeneous data from three primary channels: (1) existing public databases, (2) electronic laboratory notebooks, and (3) automated literature extraction. Raw data first undergo a rigorous standardization process. The core innovation is the structure vectorization module, which uses representation learning to generate a unique fingerprint for each crystal structure. These fingerprints are indexed in a high-performance vector database, enabling a similarity matching engine to dynamically link disparate records. The resulting fused data backbone supports a rich application layer featuring interactive querying, visualization tools, a RESTful API, and a suite of integrated AI tools (e.g., LLM-based assistants, generative models, and property predictors).
亮点文章
Unchanged top surface-state structures in three-dimensional topological insulator Sb2Te3 thin films in the presence of bottom-surface moiré potentials
Dezhi Song(宋德志), Fuyang Huang(黄扶旸), Jun Zhang(仉君), and Ye-Ping Jiang(蒋烨平)
Chin. Phys. B, 2025, Vol. 34(12): 126801
文章亮点介绍
利用扫描隧道显微镜(STM)的扫描隧道谱(STS)及朗道能级谱(LLS),观测到了STO衬底上1-4个范德瓦尔斯层的Sb2Te3超薄膜中的摩尔条纹。本文着重研究了在Sb2Te3薄膜与√13x√13重构的STO(111)衬底界面处产生的摩尔条纹对拓扑绝缘体上表面态的影响。该工作发现,不同于体电子态,界面处的摩尔条纹对上表面态仅有微弱的势场影响。在微弱的周期势场下,上表面态的电子结构未受影响,这由上表面态的高质量LLS证实。该研究实现了三维拓扑绝缘体与衬底间的摩尔条纹的构筑与观测,表明了在上下表面态耦合作用比较弱的情况下,下表面的摩尔条纹对上表面态微弱的势场影响不足以产生可观测的能带折叠作用。

Fig.1. Sb2Te3薄膜中上表面态受下表面处摩尔势场的影响。其中下表面的摩尔势场来源于Sb2Te3薄膜与STO表面间的摩尔条纹。左边的图分别是原子级分辨的摩尔条纹图、3-QL(quintuple layer)及4-QL的摩尔条纹图。右上三个图表明了3-QL薄膜上表面态中的势场起伏不同于体能带的势场起伏,其中摩尔势场引起的空间周期势场远小于体能带;在微弱的周期势场影响下,3-QL的上表面态的能带结构基本不受影响,这点由朗道能级谱(LLS)及相应的能带模拟所证实。右下两个图表明了4-QL薄膜的上表面态受下表面处摩尔势场的影响更小,这由0 T及14 T下几乎不变的狄拉克点位置所证实。
亮点文章
Crystal growth and characterization of a hole-doped iron-based superconductor Ba(Fe0.875Ti0.125)2As2
Yi-Li Sun(孙毅丽), Ze-Zhong Li(李泽众), Yang Li(李阳), Hong-Lin Zhou(周宏霖), Amit Pokhriyal, Haranath Ghosh, Shi-Liang Li(李世亮), and Hui-Qian Luo(罗会仟)
Chin. Phys. B, 2025, 34 (12): 127401
文章亮点介绍
铁基超导电性可以借助载流子掺杂/元素替代来进行调控。以122铁基超导体BaFe2As2为例,母体是共线型反铁磁基态的金属,通过Ba掺杂Na、K等引入空穴,或Fe位掺杂Co、Ni等引入电子,或As位同价掺杂P,均能抑制其长程磁有序而出现超导电性。但是,空穴和电子掺杂的原子位置差异,导致两个体系在局域晶格存在一定的差异,并不能实现严格的物性对比。目前,铁基超导体中尚未能够实现Fe位的空穴型掺杂超导电性。在BaFe2As2的Fe位中尝试掺入Cr、Mn、V等元素均未能实现超导,反而将体系原有的C型反铁磁序诱导成了G型反铁磁序或极大改变了静态磁有序磁矩的大小。因此,探讨是否能够在Fe位同步实现空穴/电子掺杂超导体,也是铁基超导材料研究的一个重要议题。
本文作者在尝试生长Ni掺杂的Ba2Ti2Fe2As4O单晶样品过程中,意外获得了Ti掺杂的BaFe2As2单晶Ba(Fe1-xTix)2As2,并发现该材料属于Fe位空穴型掺杂的超导体。Ba(Fe1-xTix)2As2属于122型铁基超导体系,但传统的基于FeAs+TiAs助熔剂法并不能获得其单晶样品,可能Ni在制备Ba2Ti2Fe2As4O单晶过程中起到了一定的催化作用。在Ba(Fe0.876Ti0.125)2As2中,他们成功在退火后的样品中观测到了Tc≈21.3 K的超导电性,尽管超导体积分数较低,但仍明显观测到材料的零电阻态和抗磁信号。霍尔系数测量表明该体系的载流子浓度为空穴型,与第一性原理计算结果一致,即由空穴型费米面占主导。
该材料是首次在铁基超导体的Fe位实现了空穴型掺杂超导,提供了一种新型的空穴型铁基超导体体系Ba(Fe1-xTix)2As2。

Fig. 1. (a) Crystal structure of Ba(Fe1-xTix)2As2. (b) Photo of as-grown crystals. (c) Typical Laue reflection pattern of as-grown crystals. (d) Resistance of as-grown and annealed Ba(Fe0.876Ti0.125)2As2 crystals.(e) DC-magnetic susceptibility measured by field-cooling (FC) and zero-fieldcooling (ZFC) methods. (f) Field dependence of Hall resistivity at various temperatures with H // c. (g) Temperature dependence of the Hall coefficient. Inset: Fermi surfaces obtained from DFT calculations.
亮点文章
Pattern description of quantum phase transitions in the transverse antiferromagnetic Ising model with a longitudinal field
Yun-Tong Yang(杨贇彤), Fu-Zhou Chen(陈富州), and Hong-Gang Luo(罗洪刚)
Chin. Phys. B, 2025, 34 (12): 127504
文章亮点介绍
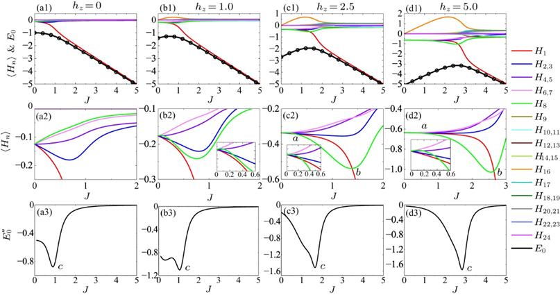
横场伊辛模型引入纵场,反铁磁与铁磁相互作用的行为表现出显著差异。铁磁相互作用的基态不发生量子相变,而反铁磁相互作用的基态则展现出丰富的相行为,包括顺磁相、反铁磁相以及可能存在但尚存争议的无序相。
本文从图案语言出发,通过分析反铁磁伊辛相互作用强度J, 横向磁场hx与纵向磁场hz之间的竞争关系,识别出与三类能量尺度对应的自旋构型图案,进而探讨可能的相及其相变行为。取横场hx为能量单位,对自旋格点数从8到128进行了系统的计算。结果表明,无序相确实存在:当hz较小时,系统随J增大经历从无序相到反铁磁相的转变;而当hz较大时,系统依次经历从顺磁相到无序相、再进入反铁磁相的两阶段转变。

Fig. 1. (a1)–(d1) 基态能量E0 (黑色曲线)及其分量Hn (彩色曲线)随J的变化,纵场分别取为hz = 0、1.0、2.5和5.0。(a2)–(d2) 能量分量的放大图,a点与b点分别为H1 与 H8的交点。(a3)–(d3) 总能量的二阶导数,c点指发生量子相变的位置。根据交点a和b以及二阶导数的c点判断相变的发生。为方便演示,格点数取L = 8。圆圈为精确对角化的结果。

Instrumentation and Measurement
Computational Programs for Physics

Celebrating 30 Years of Chinese Physics B
Stephen J. Pennycook: A research life in atomic-resolution STEM and EELS
Artificial intelligence and smart materials innovation: From fundamentals to applications
Ultrafast physics in atomic, molecular and optical systems
Quantum communication and quantum network
Exciton physics: Fundamentals, materials and devices
Structures and properties of materials under high pressure
Moiré physics in two-dimensional materials
Computational programs in complex systems
A celebration of the 90th Anniversary of the Birth of Bolin Hao
Recent progress on kagome metals and superconductors
Quantum computing and quantum sensing
Post-Moore era: Materials and device physics
States and new effects in nonequilibrium
Smart design of materials and design of smart materials
Superconductivity in vanadium-based kagome materials

https://iopscience.iop.org/journal/1674-1056
Archiver|手机版|科学网 ( 京ICP备07017567号-12 )
GMT+8, 2026-5-21 04:02
Powered by ScienceNet.cn
Copyright © 2007- 中国科学报社