|
一、线性时不变系统
运动变换过程中保持不变的量为守恒量,运动变换守恒量往往是“时不变”的(守恒量对时间的导数为0):

考察对量子系统的时间平移操作Tτ,假设t时刻的系统被平移到t+τ时刻Tτ,记这个时间平移操作的对称变换为U(τ),因此:U(τ1)U(τ2)=U(τ1+τ2),其中时间平移算符U(τ)=exp(iHτ/ℏ),厄米算符H是时间平移的生成元,时间平移生成元H是系统的哈密顿算符。得到量子态的时间演化方程: ∣ψ(t)⟩=exp(−iHt/ℏ)∣ψ(0)⟩,也可得到海森堡绘景的算符随时间演化的关系: AH(t)= exp(iHt/ℏ) AH(0) exp(−iHt/ℏ)。系统守恒量(时不变)的特征元是exp(iHt/ℏ)、平移算符本征元也是exp(iHt/ℏ)。综上所述,量子态时间演化系统有且只有exp(iHt/ℏ)特征元。在傅里叶谱分析(线性空间)中, exp(iHt/ℏ)特征基系构成线性时不变系统。
时不变系统的唯一共同特征解为:exp(ℏiωt),exp(ℏiPx),它们同时是:
平移算符本征元
守恒量特征元
傅里叶基
二阶张量空间不变量
诺特定理与守恒量:这是理论物理(分析力学、场论)的核心。如果物理系统的作用量具有某种连续对称性,那么就对应存在一个守恒量,即该量不随时间变化,dQ/dt=0(例如:时间平移对称性 →→ 能量守恒;空间平移对称性 →→ 动量守恒;旋转对称性 →→ 角动量守恒),因为 Q=const,完全不随时间变化,所以守恒量 Q 是 “时不变量”。
诺特定理只要求拉格朗日 / 哈密顿具有某种连续对称性,不要求系统线性,也不要求系统整体是 LTI。
经典力学里自由粒子、谐振子:哈密顿是时不变的,运动方程线性 ⇒ LTI
有外场、含时势:哈密顿显含 t ⇒ 不是时不变系统,但只要仍有对称性,依然可以有守恒量例如:中心力场 V(r) 不显含 t,有旋转对称 ⇒ 角动量守恒,但系统可以是非线性的
①exp(iHτ/ℏ)
诺特定理证明了时间平移对称性导致能量守恒。能量守恒定律说明能量无法创造或毁灭,无论那个时刻能量既不增加也不减少,能量总是恒定一样多,不随着时间变化而变化。时间平移算符U(τ)=exp(iHτ/ℏ)为系统的对称变换,量子态从0时刻到t时刻的演化规律是:|ψ(t)⟩ = exp(-iHτ/ℏ)|ψ(0)⟩。因为对称变换和哈密顿算符对易,所以时间平移算符U(τ)与exp(-iHt/ℏ)对易。或者等价地说哈密顿算符(即能量算符)在对称变换下不变,即:U†(τ) H U(τ)= H,H在海森堡绘景里面依然是H,哈密顿量不显含t的系统具有时间平移对称性。对于这样的系统,如果我们计算哈密顿算符H在任意两个态|ψ(t)⟩和|ϕ(t)⟩上的矩阵元,那么显然有:⟨ϕ(t)|H|ψ(t)⟩=⟨ϕ(0)|H|ψ(0)⟩。由于上式不依赖于时间t也即是说系统的能量是守恒的(H本征值不变)。总之,有时间平移对称性的系统,就必定有能量守恒。值得注意的是,系统守恒量的特征元是exp(iHt/ℏ)、平移算符本征元也是exp(iHt/ℏ)。综上所述,量子态时间演化系统有且只有exp(iHt/ℏ)特征元。
这里,exp(iHτ/ℏ)中能量H与时间τ对偶,能量守恒定律源自于能量H对于时间τ的平移对称性,τ变化保持H本征值不变。即H的本征值是守恒量。

进一步看,0点处的傅里叶变换等于原函数的积分:

设能量本征值对时间的函数为H(τ),0点处能量H的本征值总量为H(0)。则有每个时间点τ的能量H的本征值总量恒等:H(0)=H(1)=H(2)=H(3),形象而言,‘能量-时间’频域时域结构草图H(τ)如下:

时间τ=0时刻有能量H,该能量与τ=1时刻、2时刻、3时刻的哈密顿H本征值保持都一样多。无论那个时刻的能量既不增加也不减少,能量总是保持恒定不变的。
②exp(iPx/ℏ)
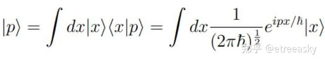
诺特定理还证明了空间平移对称性导致动量守恒。值得注意的是,系统守恒量的特征元是exp(iPx/ℏ)、平移算符本征元也是exp(iPx/ℏ)。综上所述,量子态位置演化系统有且只有exp(iPx/ℏ)特征元。exp(iPx/ℏ)中动量算符P与位移算符X对偶,动量守恒定律源自于动量P对于位移x的平移对称性,x变化保持P本征值不变。即P的本征值是守恒量。参看如下草稿图:

位移x=0点有动量切片(该切片上的总动量为P),与x=1、2、3点的动量切片1、动量切片2、动量切片3的总动量P都一样多。无论X平移到哪个位移点,这个位置点对应的那个切片上的总动量既不增加也不减少,不同切片上动量P总是保持恒定不变的。动量切片总动量恒定。
③exp(iPr/ℏ)的普遍性
诺特定理关于物理量守恒和对称性原理具有普遍性。根据诺特定理有,连续对称性 ↔ 守恒量 在二阶对偶空间中,对称性与守恒量构成对偶对。
exp(iHτ/ℏ),能量H与时间τ对偶,能量守恒定律源自于能量H对于时间τ的平移对称性,τ变化保持H本征值不变; exp(iPx/ℏ),动量算符P与位置算符X对偶,动量守恒定律源自动量P对于空间位置X的平移对称性,X变化保持P本征值不变; exp(iθJ/ℏ),角动量J与旋转角θ对偶,角动量守恒定律源自角动量J对于旋转角θ的空间旋转对称性,θ变化保持J本征值不变; exp(iαQ/ℏ),电荷算符Q与相位参数α对偶,电荷守恒定律源自电荷Q对于相位α变化对称性,α变化保持Q本征值不变。
于是,在频域时域普遍意义下,有下图:

时域分别取值0、1、2、3时,时域点对应一个频域切片,频域每一个切片上的物理量都一样多。对守恒量、周期性、离散点,梳状抽样,无论时域变量移动到那个固定点,频域切片上的物理量既不增加也不减少,每一个频域切片上的物理量总是恒定不变的。

对称性相应于对系统即一个对称变换。假设记T1操作的对称变换为U(T1),T2操作的对称变换为U(T2),T1和T2的合成操作T2T1诱导的对称变换为U(T2T1)。在T1操作之下,原来的量子态|ψ⟩将变换为|ψ⟩→U(T1)|ψ⟩,紧接着再进行操作T2,这个量子态就会接着变换为U(T1)|ψ⟩→U(T2)U(T1)|ψ⟩,所以先后进行T1、T2操作总的效果是将|ψ⟩变换为|ψ⟩→U(T2)U(T1)|ψ⟩。另一方面,根据定义,合成操作T2T1将会把|ψ⟩变换为|ψ⟩→U(T2T1)|ψ⟩。根据操作合成的定义,这两个结果应该是一样的,也即是说,我们应该有U(T2T1)|ψ⟩=U(T2)U(T1)|ψ⟩。由于量子态对应的希尔伯特空间矢量不唯一确定,而是可以相差一个相位,即有:
U(T2T1)|ψ⟩=exp(iω)(T2,T1) U(T2)U(T1)|ψ⟩
鉴于|ψ⟩是一个任意的态,因此U(T2T1)|ψ⟩=U(T2)U(T1)|ψ⟩=e^iω(T2,T1)U(T2)U(T1)|ψ⟩ 具有普遍意义。
由于量子态对应的希尔伯特空间矢量不唯一确定,而是可以相差一个相位,即有: U(T2T1)=e^iω(T2,T1)U(T2)U(T1)

我们也可以等价地认为对称变换对系统量子态没有作用,而是对物理量的算符有作用。在对称变换的作用下矩阵元:⟨ϕ|A|ψ⟩,变换为:⟨ϕ|A|ψ⟩→⟨ϕ|U†A U|ψ⟩,根据算符A的本征方程A|a⟩=a|a⟩,在对称变换的作用下,算符A的本征值a不会变,但是本征态|a⟩将变为U†|a⟩(物理上这是因为仪器反方向“旋转”了)。如果对于一个原来处于|ψ⟩态的系统,计算测到A的值为a的概率:P_a=|⟨a|ψ⟩|^2
在对称变换之下对于这个概率如何变化有两种等价的观点:一是认为算符A不变(从而它的本征态|a⟩也不变),但是系统的量子态|ψ⟩变换为|ψ⟩→U|ψ⟩,根据这一观点,P_a 将变换为|⟨a|ψ⟩|^2→|⟨a|U|ψ⟩|^2;二是认为系统的量子态|ψ⟩没变,但是作为物理量的算符A对应变换了,从而本征态|a⟩将变为U^−1|a⟩,即⟨a|将变为⟨a|U,所以P_a 依然将变换为|⟨a|ψ⟩|^2→|⟨a|U|ψ⟩|^2 。很显然,这两种不同观点完全等价。变换算符和量子态是一一对应的对等关系。换言之,我们可以将算符等价看作对应的量子态。
时间平移对称性是连续对称性。假设我们考察的对称性是一个任意的连续对称性,我们考虑无穷小对称变换U(ε)=1+iεG+...,式中G为这个连续对称变换的生成元。无穷小变换:U(ε)=exp(iεG/ℏ),参数ε为一个无穷小量,算符G是连续幺正变换U(ε)的生成元。由于连续对称性的生成元必定与系统的哈密顿算符对易,有:{G,H}=0
记某物理量A在这一无穷小对称变换的作用下变换为A→A′=U†(ε)AU(ε),记变换前后物理量A的无穷小改变为δA= A′−A,有:δA=(1−ℏiεG+...)A(1+ℏiεG†+...)−A=ℏiε{G,A},即:δA=ℏiε{G,A}
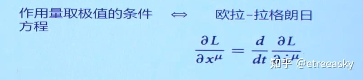
将算符对易子{G,A}/(iℏ)对应于分析力学中的泊松括号{G,A}_PB,量子泊松括号又称对易子,是一种双线性的运算,类似于李代数。该方程正好是分析力学中的无穷小正则变换方程:δA = ε{G,A}_PB,其中G是无穷小正则变换的生成元。在分析力学中,如果一个正则变换保持系统的哈密顿量不变,称它为力学系统的一个对称性。如果力学系统有一个连续的对称性从而使得哈密顿量在无穷小正则变换G下保持不变(为简单起见,假设G不显含t,即∂G/∂t=0),即:δH= ε{G,H}_PB=0,从而{G,H}_PB=0
则根据力学量G的哈密顿运动方程:dG/dt={G,H}_PB,必有:dG/dt=0
也即是说连续对称性的生成元G必定是一个守恒量。这就是分析力学中连续对称性与守恒量之间的密切联系,通常人们是在拉格朗日量的框架下讨论它的,这就是诺特定理。连续对称性与守恒量之间的这一普遍联系在量子力学中依然成立。综上所述,线性时不变系统共同本征元是exp(iωr/ℏ)、对称算符本征元也是exp(iωr/ℏ)。换句话说,线性时不变对称演化系统有且只有exp(iωr/ℏ)特征元。
三、等间距守恒量的普遍意义“不变量”概念,在从经典力学到量子力学的过渡中得到了完美的延续,是通过泊松括号实现的:
经典力学:物理量是函数,演化由泊松括号 {f, H} 描述。守恒条件是 {f, H} = 0
量子力学:物理量是算符,演化由对易子 [f̂, Ĥ] 描述。守恒条件是 [f̂, Ĥ] = 0
这种自对偶性在量子力学中对应位置与动量空间的对称性,指向了物理理论中对称性与对偶性的深层统一。在周期势中,离散位置空间导致动量空间的周期性(布里渊区),而平移算符的代数关系[exp(iap),exp(ibq)]直接由泊松括号{q,p}=1衍生。进一步看“时频样本点对偶性分析的不变性框架”,作为泊松求和公式的推广,傅里叶变换前后的数值抽样的狄拉克梳状函数是相等的。狄拉克梳状函数的不变性,等价于抽样对应的正则对偶对(t-ω、q-P)关联关系不变,而这种关联关系正是泊松括号所刻画的核心内容,与下文中的∑_i(∫Pidqi)≃∫Hdt正则对偶对积分)的守恒性逻辑一致。

狄拉克脉冲序列梳状函数(Ш函数),为间隔等于p的δ脉冲函数的加和。我们在频域每个整数点取样本集得到标准梳状函数Ш(p=1)、在时域每个整数点取样本集得到对偶梳状函数 F(Ш)。根据波粒二象性我们知道,如果频域梳状函数Ш是脉冲函数:

则时域对偶梳状函数 F(Ш)是无穷无尽的波:

但是,这两个大相径庭的函数却居然相等。即:F(Ш)=Ш

Ш函数其傅里叶变换为自身(高斯函数也有此性质)。Ш函数揭示了“频域和时域二阶复合”物理量密不可分的深刻内涵。
①频域和时域的对等性根据Ш函数性质,频域抽样距离缩小1/p时物理量特征值(简谐波振幅)总额需要除以p才能与时域物理量原数值相等。

对于守恒量周期梳状抽样,当样本距离极限扩展到p倍( p→∞ )时近似看作只有一个切片样本量,则这个切片样本量等于时域物理量原数值的1/p,而时域每个切片上的物理量是恒定不变的,所以推知频域每个切片上的物理量也保持恒定不变。如下图:

对于守恒量周期梳状抽样,信号在时域的能量等于其在频域的能量。红色的每个频域切片(红色切片)上的物理量恒定不变,可以推知时域每个切片(蓝色切片)上的物理量也保持恒定不变。时域上的平移会转变为频域的相移(幅度不变,相位改变),有:U(T2T1)|ψ⟩=U(T2)U(T1)|ψ⟩=e^iω(T2,T1)U(T2)U(T1)|ψ⟩ ,这具有普遍意义。

也就是说,如果有空间平移对称性导致动量守恒,就有动量平移对称性导致空间位置特征值总量守恒不变(动量切片总动量恒定)。

换言之,exp(iPx/ℏ)中的动量算符P与位置算符X对偶,空间位置守恒源自空间位置X对于动量P的平移变换的对称性,P变化保持X本征值不变。

n阶张量系统,可以看作n重线性空间的流形结构(离散的近似),其中的矩阵乘法构成了李群。我们知道李代数是李群的一个切空间,这个李代数切空间的切割方向可以是任意的,显而易见具有普遍性意义。

形象看,如果时域切片和频域切片是平切和横切,那么更一般地斜着切一刀,甚至用曲面(而不是平面刀)以相等间隔切割流形,会得到什么结果呢?

对于守恒量周期梳状抽样,并且保度规、等距变换下不变,在时域和频域复合的二阶张量空间平切(或横切),意味着频域(或时域)取确定值0、1、2、3,频域P值固定时只有对偶空间位移x值是变量。而当我们换个方向非0度非90度的斜切频域时域二阶张量空间,频域P和时域X同时发生变化,此时如果我们选择切割角度45度或任意角度等间距比例切片的时候,切片上的物理量额度大小其实还是恒定不变的。






比如说,保度规的洛伦兹变换,在黎曼流形切开厚度为ε切片上,任意切割的时空线元保持不变,这满足诺特定理对称守恒定律。
又比如,哈密顿正则方程的数学结构在正则变换下保持不变。
正则动量P =(1/c)E,其中E为粒子能量,c为光速。
有:Pc=E
又因为,动量mv是动能1/2(mv^2)对速度v求偏导:
![]()
自由粒子的正则动量 P,是哈密顿量 H 对广义速度 q˙i 求偏导: Pi=∂H/∂q˙i
自由粒子的正则动量P、正则速度q˙和哈密顿量H之间的正确关系通过勒让德变换 H=Piq˙i/2−L定义, 作用量S=∫Ldt=∫(Piq˙i−H)dt。拉格朗日力学以广义速度 q˙为变量,能量函数为拉格朗日量 L(q,q˙);哈密顿力学以广义动量 p为变量,能量函数为哈密顿量 H(q,p);并且,H(q,p)=pq˙−L(q,q˙)。多自由度系统中,正则动量 / 速度是矢量,勒让德变换的普遍形式是对所有广义坐标求和∑iPiq˙i,仅当系统为单自由度(如一维运动)时,才退化为Pq˙ 。如果系统的拉格朗日量 L是广义速度 q˙的二次齐次函数(这在大多数经典力学系统中成立,例如动能项通常包含 1/2mv2),那么根据欧拉齐次定理,同时如果拉格朗日量不显含时间(保守系统),哈密顿量 H于系统的总能量 T+V ,在这种情况下,经过推导可以证明 H=2L(对于纯动能、不显含时、二次齐次系统成立)或满足特定比例关系。如自由粒子或标准保守力学系统,有(P_i)(q_˙i)= 2H,正则动量乘以正则速度恰好等于系统的正则动量H
拉格朗日量L关于广义速度q˙的特定数学结构:∫(P_i)(q_˙i)dt=∫(H+L)dt
若系统为保守、不显含时、纯动能,可近似认为: ∫(P_i)(q_˙i)≈∫Hdt
即:∫P_i(dq_i)=∫Hdt

由此,得到频域⨂时域的二阶空间存在普遍相似性结构:
∫Pdq ≃ ∫Hdt ≃ ∫Jdθ ≃ ∫Qdα
∫Pdq:动量 - 位置作用量不变量
∫Hdt:能量 - 时间作用量不变量
∫Jdθ:角动量 - 旋转角不变量
∫Qdα:电荷 - 相位不变量
时域⨂频域二阶张量积空间H=Ht⊗Hω的不变量为时频联合对称变换下保持数值 / 形式不变的量,按拓扑与物理属性分为四类,且所有不变量均满足时频对偶不变性,核心不变量为积分型拓扑不变量,其余不变量均为其衍生形式:
全局拓扑不变量(作用量型):∑_i(∫Pidqi)≃∫Hdt,为空间拓扑荷,在任意保度规变换下恒为常数。在经典力学中,作用量积分∑∫pidqi∑∫pidqi与泊松括号有着深刻的联系。首先,对于一对共轭变量(qi,pi),泊松括号定义为{qi,pj}=δij,它刻画了相空间的辛结构。作用量积分∑∫pidqi是辛势的积分,其外微分给出辛形式ω=∑dpi∧dqi,而泊松括号正是由辛形式诱导的李括号:{f,g}=ω(Xf,Xg),其中Xf是函数ff的哈密顿向量场。此外,作用量积分是正则变换的生成函数,通过变分原理导出哈密顿方程,而泊松括号则描述了动力学量在哈密顿流下的演化:dfdt={f,H}。在量子力学中,这些关系进一步体现为对易子与泊松括号的对应:[A,B]=iℏ{A,B},而作用量积分出现在路径积分的相位因子exp(iS/ℏ)中,其中S=∫(pdq−Hdt)。因此,这里的积分型不变量i∑∫pidqi与∫Hdt的等价性,本质上反映了辛结构下的拓扑不变性,而它们与泊松括号的联系则揭示了经典与量子动力学中相空间几何与代数结构的统一。∑ᵢ∫Pᵢdqᵢ是作用量的一个核心组成部分。在哈密顿力学中,作用量S与哈密顿量H通过哈密顿主函数紧密相连。关系{qᵢ, Pⱼ} = δᵢⱼ是经典力学相空间结构的基石。它定义了什么是“正则”的坐标和动量。任何作用量形式的积分∫Pdq都建立在这种正则共轭关系之上。泊松括号与哈密顿正则方程直接相关,而正则方程正是描述P和q如何演化的方程。泊松括号不仅是一个抽象的代数工具,它直接编码了相空间中坐标和动量的动力学演化规律,而∑ᵢ∫Pᵢdqᵢ正是在这个相空间路径上的积分。
局部谱不变量(特征解型):exp(ℏiHt)⊗exp(ℏiPω),为H的共同本征基,在线性时不变变换下形式不变;
概率测度不变量(统计型):①联合归一化:∬P(t,ω)dtdω=1;②边缘概率守恒:P(t)=∫P(t,ω)dω、P(ω)=∫P(t,ω)dt;③互信息不变:I(t;ω)=常数;
基础几何不变量(度规型):内积⟨Ψ1⊗Φ1∣Ψ2⊗Φ2⟩=⟨Ψ1∣Ψ2⟩t⋅⟨Φ1∣Φ2⟩ω,为希尔伯特空间固有不变量,保幺正性。
时频二阶张量积空间H的经典几何底层为二维辛空间Sp(2,R)(单自由度时频对偶),其核心为非退化、反对称的辛形式:ω((t1,ω1),(t2,ω2))=t1ω2−t2ω1;辛变换为保辛形式不变的变换,全体辛变换构成辛群Sp(2,R),是辛空间的对称群,生成元为正则泊松括号。时域⨂频域二阶张量积空间H=Ht⊗Hω是二维辛空间Sp(2,R)的量子希尔伯特化表示,其不变量为时频对偶下的联合守恒量,核心为i∑∫Pidqi≃∫Hdt;不变量对应的时频平移群T=Tt(1)⊗Tω(1),是单域平移群的直积母群、是辛群Sp(2,R)的正规阿贝尔子群。
辛不变量 是 时频二阶空间不变量的经典原型。辛空间的核心不变量是辛形式(保辛形式不变是辛变换的本质),而时频二阶张量积空间的所有不变量,都是辛不变量在量子希尔伯特空间的复合与推广:
辛空间的正则对偶对积分不变量(∫Pdq−∫Hdt)是时频二阶空间拓扑不变量(∫Pdq≃∫Hdt)的经典原型;
辛群的卡西米尔不变量(正则对偶对的模长)是时频平移群联合谱不变量(exp(iHt/ℏ)⊗exp(iPx/ℏ))的经典对应;
辛变换的保测度不变(刘维尔定理,经典概率测度守恒)是时频二阶空间联合概率测度不变(∬P(t,ω)dtdω=1)的几何根源。
符号约定:记时域希尔伯特空间为Ht,频域希尔伯特空间为Hω,二阶张量积空间为H=Ht⊗Hω;辛群为Sp(2n,R),单参数平移群为T(1),时频平移群为T=Tt(1)⊗Tω(1);正则对偶对为(q,P)(位置 - 动量)、(t,H)(时间 - 能量)。

时域⨂频域二阶张量积空间的不变量是时频对偶下的联合守恒量,分拓扑、谱、概率、几何四类,核心为∫Pdq≃∫Hdt;辛空间正则积分不变量∫Pdq−∫Hdt,对应H的全局拓扑不变量i∑∫Pidqi≃∫Hdt;其对应群是时频平移群T(1)⊗T(1),是单域频域平移群的直积母群,单域群是其子群,二者继承阿贝尔性、生成元 / 不变量呈复合关系;该群与辛变换的核心联系是:辛空间是时频二阶空间的几何底层,辛群是时频平移群的泛化母群,时频平移群的幺正变换是辛变换的量子幺正实现,二者的不变量是经典 - 量子的对应关系。所以,时域⨂频域二阶张量积空间的不变量对应辛群。时频二阶张量积空间Ht⊗Hω本质上是有限维辛空间的希尔伯特空间表示,其不变量对应的时频平移群T(1)⊗T(1)是辛群Sp(2n,R)的子群,二者的联系根植于经典力学的正则对偶与量子力学的幺正变换,核心是辛结构是时频对偶的几何本质,时频平移群是辛变换的幺正实现。
4.1、对偶空间辛群群辛群Sp(2,R)是正则对偶空间的天然对称群,对偶空间是辛群的几何载体,辛群的所有变换(保辛形式)均为对偶空间上的正则变换,二者是「空间结构 - 对称群」的一一对应关系,辛群的保辛本质正是为了保持对偶空间的正则对偶关系不变。辛群是对偶空间的保结构对称群。对偶空间的核心属性是正则对偶关系(如q↔P、t↔H),而辛群的核心变换规则 ——保辛形式,本质就是为了保持对偶空间的正则对偶关系不被破坏。数学上,对偶空间的辛形式是描述对偶矢量对关联的核心量,辛群的保辛变换让「对偶矢量对的辛形式取值不变」,即对偶关系的 “关联强度” 与 “一一对应性” 在变换下恒成立。对偶空间的运算由辛群约束,对偶空间上的线性变换、张量积、投影等运算,若要保持对偶性,必须是辛群的保辛变换;非保辛的变换会导致对偶空间的正则结构坍塌(如对偶矢量对的一一对应性丢失)。
辛变换的全体构成辛群Sp(2n,R)(2n为辛空间维度,时频空间n=1,即Sp(2,R)),是非阿贝尔李群,保辛形式不变。
辛群Sp(2,R)包含时频平移、时频旋转、时频缩放等所有保辛形式的变换,而时频平移群是其中最简单、最基础的子群,对应正则对偶对的平移不变性,也是原文中线性时不变系统的核心对称群;
辛群的生成元是正则泊松括号,时频平移群的生成元(H⊗P)是辛群生成元在希尔伯特空间的幺正化形式(量子化)。
时频二阶张量积空间(时域⊗频域),其张量积运算的几何约束正是辛群的保辛形式,保证时频对偶的复合结构不变。对偶空间是辛群的几何基础,辛群Sp(2n,R)的定义必须依托对偶空间,二维辛空间是一阶线性空间与其对偶空间的直和(R^n⊕(R^n)∗)。时频对偶空间/位置 - 动量正则空间(二维):
位置空间R ↔ 其对偶空间(动量空间)R∗,直和为正则对偶空间R⊕R∗;
时域R ↔ 其对偶空间(频域)R∗,直和为时频对偶空间R⊕R∗; 辛群Sp(2,R)正是定义在该类对偶空间上的李群,无对偶空间则辛群失去存在的几何载体。
对偶空间(正则)⟺ 辛形式(核心几何量)⟺ 保辛变换(辛群群元),三者一脉相承,对偶空间是辛群的 “舞台”,辛群是对偶空间的 “守台人”。

辛群的定义根基是辛形式的双线性属性,双线性是辛群保辛变换的前提条件,辛群是辛空间上所有保 “非退化、反对称双线性型(辛形式)” 的可逆线性变换群,双线性与「反对称、非退化」共同构成辛群的三大定义基石(缺一不可)。
①辛形式是辛群的核心双线性型 辛群的定义依赖辛形式,而辛形式的首要属性就是双线性(其次是反对称、非退化),即对 2 维辛空间任意矢量u,v,w和实数a,b,辛形式ω满足: ω(au+bv,w)=aω(u,w)+bω(v,w) ,ω(u,av+bw)=aω(u,v)+bω(u,w) 这一双线性属性让辛形式可适配线性变换,而辛群的群元正是线性变换,因此双线性是辛群与辛形式之间的桥梁。
②双线性是保辛变换的必要前提 辛群的核心要求是保辛形式(ω(Mu,Mv)=ω(u,v)),若辛形式不具备双线性,保辛变换的线性运算将无法成立(如无法满足群的封闭性)。 简单来说:双线性让辛形式可以 “兼容” 线性变换,而辛群正是由保该双线性型的线性变换构成。
③辛群仅保 “特定的双线性型” 并非所有双线性型都与辛群相关,辛群仅关注辛空间上的「非退化、反对称双线性型」(即辛形式):
若双线性型是对称的(如欧氏空间的内积),其保形变换群是正交群O(n),而非辛群;
若双线性型退化(存在零矢量与所有矢量的双线性型值为 0),则无法定义正则对偶关系,也无辛群可言。 因此,辛群是双线性型保形变换群的一个特例,对应「非退化、反对称双线性型」的保形变换。
双线性 → 辛形式的基础属性 → 保辛形式的线性变换 → 辛群;双线性是辛群定义的 “数学前提”,辛群是特定双线性型的 “保形变换群”。
辛形式是辛空间上的一种非退化、反对称、双线性型,是辛空间的固有几何结构,类比欧氏空间的 “内积(度规)”,但辛形式是辛空间的 “核心度规”,决定了空间中矢量的正则对偶关系。
时频二阶空间/经典正则空间中,辛空间的矢量直接对应正则对偶对。二维辛空间(对应时频对偶t−ω、位置 - 动量对偶q−P时频二阶空间、经典力学正则空间的核心场景)。2 维辛空间为R2,空间中任意两个矢量为u=(u1,u2)^T、v=(v1,v2)^T,标准辛形式记为ω(u,v),其显式表达式为:(u,v)=u1v2−u2v1
位置 - 动量空间:u=(q,P)^T(位置q,动量P),ω(u,v)=q1P2−q2P1;
时频对偶空间:u=(t,H)^T(时间t,能量H),ω(u,v)=t1H2−t2H1; 辛形式的取值,表征正则对偶对的“关联强度”,是正则空间中最基础的几何不变量。


时频二阶空间中的平移、旋转、剪切、缩放等所有保辛形式的连续变换,均属于辛群Sp(2,R);而时频平移群T仅为其中平移型保辛变换的子集,这也是辛群是 “时频平移群泛化群” 的本质原因。
① 保辛形式 = 保正则对偶关系(最核心物理意义)。辛形式是描述正则对偶对(t−H、q−P) 关联的核心几何量,保辛形式意味着正则对偶的 “一一对应关系” 在变换下保持不变:位置 - 动量空间:保辛形式 → 位置q与动量P的正则对偶关系不变,不会因变换导致对偶性丢失;时频对偶空间:保辛形式 → 时间t与能量H的时频对偶关系不变,贴合深度学习时频二阶空间的 “对偶互补” 核心思想。 物理本质:正则对偶是经典力学 / 量子力学的底层结构,保辛形式是该结构不被破坏的必要条件。
② 保辛形式 = 保泊松括号(诺特定理的几何基础)。辛群是保持泊松括号(即保持辛形式)的线性变换群。对于一般的辛流形,辛微分同胚群是泊松括号的自同构群。经典力学中任意两个物理量f,g的泊松括号{f,g},可由辛形式直接定义。 保辛形式 ⇨ 保泊松括号,而泊松括号是诺特定理在经典力学中的核心载体:连续对称性的生成元与哈密顿量的泊松括号为 0 ⇨ 生成元是守恒量。 因此,保辛形式是经典力学守恒律成立的几何前提,前文的能量守恒、动量守恒,其经典几何底层都是辛群的保辛形式变换。对于任意辛流形,保持辛形式(从而保持泊松括号)的微分同胚构成辛微分同胚群,而辛群是其线性化版本(在切空间上的作用)。
③ 保辛形式 = 保相空间体积(刘维尔定理)。由保辛形式衍生的det(M)=1,在经典相空间(位置 - 动量空间)中具有明确的物理意义:相空间的体积元在保辛变换下保持不变,这正是经典力学的刘维尔定理。相空间体积元:dΓ=dq1dq2⋯dqndP1dP2⋯dPn;保辛变换下:M(dΓ)=dΓ,即相空间体积守恒。 物理意义:对于保守力学系统,粒子在相空间中的 “分布密度” 在演化中保持不变,这是经典统计力学的基础,也是量子力学概率守恒的经典原型。
④时频二阶空间的保辛物理意义。在深度学习的时频二阶张量积空间中,保辛形式的物理意义直接衔接特征提取与表示不变性: 保辛形式 ⇨ 保时频对偶的特征关联不变 ⇨ 保特征的联合概率密度不变,这正是前文时频联合概率密度P(t,ω)归一守恒、边缘守恒的几何根源 —— 辛群的保辛变换,保证了时频特征在平移、旋转、融合过程中,其对偶关联与统计守恒性不丢失。

最小作用量原理适用于对偶空间,拉格朗日量形式高度一致。体现了辛群的广泛性意义。
时频平移群T、洛伦兹群SO(3,1)、规范群SU(3)/SU(2)/U(1),其核心定义均非 “保辛形式”,这是辛群与其他群的本质几何区别:
| 群标识 | 核心定义 / 变换特征 | 核心保有的几何量 | 与保辛形式的关系 |
|---|---|---|---|
| Sp(2,R) | 保辛形式的可逆线性变换 | 辛形式ω | 核心定义,唯一本质特征 |
| T=Tt(1)⊗Tω(1) | 时频平移变换 | 平移不变量(能量 / 动量) | 平移变换是保辛形式的子集,保辛是其几何底层 |
| SO(3,1)(洛伦兹群) | 保闵可夫斯基时频度规 | 洛伦兹度规ημν | 保度规≠保辛形式,与辛群无包含关系 |
| SU(3)/SU(2)(规范群) | 幺正、行列式为 1 的线性变换 | 酉空间内积 | 量子内部对称,与保辛形式无关 |
| U(1)(规范群) | 幺正相位变换 | 相位不变量 | 量子内部对称,与保辛形式无关 |
辛群是经典正则空间 / 时频对偶空间的几何对称群,核心约束是保辛形式(非退化、反对称双线性型);
平移群、洛伦兹群是时空对称群,核心约束是保平移不变 / 保闵可夫斯基度规;
规范群是粒子内部量子对称群,核心约束是保幺正性 / 保酉空间内积;
时频平移群T是辛群的子群,其平移变换天然保辛形式,因此辛群是T的经典几何泛化群。
刻画时频联合平移的群(即同时平移时间和频率)是海森堡群(Heisenberg group)。它的李代数包含两个非对易的生成元(时域平移生成元 H^、频域平移生成元 P^)以及一个中心生成元 1,满足:[H^,P^]=iℏ1,这个对易关系正是时频平面上的非交换几何的来源,也是海森堡不确定原理的代数基础。
时频平移群是海森堡群的交换子群部分:时频平移群T ≅ 海森堡群H3(R)
二维辛群Sp(2,R)的阿贝尔化(交换化)就是时频平移群T=Tt(1)⊗Tω(1),T是Sp(2,R)最大阿贝尔正规子群。
Sp(2,R)的换位子群是特殊线性群SL(2,R)的子群,且其商群Sp(2,R)/[Sp(2,R),Sp(2,R)]≅R(一维加法群,阿贝尔群)。时频平移群T的群元是Sp(2,R)中的纯平移型矩阵:Mt=(10t1)、Mω=(1ω01),其生成的群正是一维加法群R的直积(T=Tt(1)⊗Tω(1)≅R×R),与Sp(2,R)的阿贝尔化商群同构。
T是Sp(2,R)的最大阿贝尔正规子群,Sp(2,R)的所有阿贝尔子群均为平移型子群的子集,而T是其中最大的一个,且是正规子群(gTg−1=T,∀g∈Sp(2,R))。群论中,非阿贝尔群的最大阿贝尔正规子群就是其阿贝尔化的具体实现,因此T就是Sp(2,R)阿贝尔化的物理 / 几何具象形式。
物理层面的验证,Sp(2,R)的非阿贝尔性源于旋转、剪切型变换(群元乘法不交换),而阿贝尔化的本质是剔除这些非交换的变换类型,仅保留交换的平移型变换—— 这正是时频平移群T的核心构成(仅含时频平移变换,无旋转、剪切),与群论的阿贝尔化操作完全一致。
二维辛群Sp(2,R)(对应时频 / 位置 - 动量对偶空间);对于高维辛群Sp(2n,R)(n≥2),其阿贝尔化是更高维的平移群,而非一维时频平移群T,但 “辛群的阿贝尔化是其平移型最大阿贝尔正规子群”的核心规律不变。
辛群Sp(2,R)不是阿贝尔群,其群元的乘法不满足交换律,是典型的非阿贝尔李群;时频平移群T=Tt(1)⊗Tω(1)是Sp(2,R)的阿贝尔子群。
时频平移群T(1)⊗T(1)是辛群Sp(2,R)的正规阿贝尔子群,即T(1)⊗T(1)◃Sp(2,R);
时频平移群是Sp(2,R)的阿贝尔子群:时频平移群T=Tt(1)⊗Tω(1)的群元对应Sp(2,R)中对角 / 平移型矩阵,这类矩阵的乘法满足交换律,构成Sp(2,R)的正规阿贝尔子群;
Sp(2,R)的非阿贝尔性源于更一般的辛变换:辛群包含时频旋转、剪切、缩放等非平移型辛变换,这类变换的群元乘法不满足交换律,是Sp(2,R)非阿贝尔性的核心来源;
李代数层面的直接体现:Sp(2,R)的李代数sp(2,R)的李括号(对易子)非零,而阿贝尔群的李代数对易子恒为零,这是李群非阿贝尔性的本质代数特征。
时频二阶张量积空间的不变量对应群(时频平移群),本质是 辛几何(底层)→ 群论(代数)→ 量子力学(表示) 的层层耦合:
辛几何是基础:时频对偶的本质是辛空间的正则对偶结构,辛形式是时频空间的固有几何度规;
辛群是泛化:辛群Sp(2,R)是所有保时频辛结构的变换的全体,是时频对称性的泛化群;
时频平移群是特例:时频平移群T(1)⊗T(1)是辛群的阿贝尔子群,对应线性时不变系统的基础平移对称性,也是原文深度学习多隐层架构最关注的对称群;
量子化是桥梁:时频二阶张量积空间是辛空间的量子化(希尔伯特化),时频平移群的幺正变换是辛变换的量子化(幺正化),二者的不变量相互对应、一脉相承。
时频平移群的幺正变换 是辛变换的量子力学幺正实现。经典力学中,正则变换是辛空间上的辛变换,其核心是保泊松括号不变,对应经典守恒量;量子力学中,幺正变换是希尔伯特空间上的对称变换,其核心是保对易子不变,对应量子守恒量。
时频二阶空间的时频平移幺正变换(群元U(t,ω)=exp(iHt/ℏ)⊗exp(iPx/ℏ)),是经典时频辛平移变换的量子幺正实现;
辛变换的保辛形式不变,在量子力学中转化为幺正变换的保内积不变,二者是同一对称性在经典 / 量子框架下的不同表述;
诺特定理的连续对称 - 守恒量对应,在经典辛空间中是辛对称 - 泊松括号守恒,在量子时频张量积空间中是幺正对称 - 对易子守恒,二者完全等价。时频平移群(Heisenberg 群)的李代数由{q^i,pj}=δ_j^i给出,泊松括号正是这个李代数的括号。它生成相空间中的平移(包括空间平移和动量平移)。泊松括号给出了时频平移群(Heisenberg 群)的 Lie 代数结构。经典泊松括号正是这个群在相空间函数上的无穷小作用。无穷小平移由泊松括号给出:δf=ϵ{f,G}
时频平移群T=Tt(1)⊗Tω(1)与辛变换(辛群Sp(2,R))的内在联系根植于经典辛几何到量子希尔伯特空间的量子化过程,核心为 “辛空间是几何底层,辛群是泛化母群,时频平移群是幺正子群”。
空间表示关系:H=Ht⊗Hω是 2 维辛空间Sp(2,R)的复化 + 内积完备化结果(辛空间的希尔伯特化),时频对偶的本质是辛空间的正则对偶结构;
群的包含关系:时频平移群T是辛群Sp(2,R)的正规阿贝尔子群,即T◃Sp(2,R),Sp(2,R)包含时频平移、旋转、缩放等所有保辛形式的变换,T为其基础子群;
变换等价关系:T的幺正变换是经典辛平移变换的量子幺正实现,辛变换的 “保辛形式不变” 在量子力学中转化为幺正变换的 “保内积不变”,二者是同一对称性在经典 / 量子框架下的等价表述;
不变量对应关系:辛空间的辛不变量(辛形式、正则积分不变量、刘维尔测度)是H空间不变量的经典原型,量子不变量是经典辛不变量的对偶复合与量子化推广。

时频平移群T是时空平移群的量子子群,可等价嵌入整体对称群,其守恒量(能量 / 动量)是所有运算的普适不变量。
T是所有标准模型粒子的固有时空对称群。标准模型的 61 种基本粒子(夸克、轻子、规范玻色子、希格斯玻色子)均在闵可夫斯基时空中运动,均满足时间 / 空间平移对称性,即粒子的运动规律在时频平移下不变,对应T的对称变换;
T的守恒量是粒子的基本观测量。由诺特定理,T的时间平移对称性对应能量守恒,空间平移对称性对应动量守恒——所有标准模型粒子的能量、动量均是T的卡西米尔不变量,是描述粒子运动的核心物理量;
T是粒子量子态演化的对称群。粒子的量子态演化满足薛定谔方程 / 狄拉克方程,其演化算符为exp(−iHt/ℏ)(T的群元),即粒子量子态的时频演化是T的幺正表示;
基本力的规范场(如胶子场、光子场)、粒子的量子态,均是在T描述的时频时空框架中实现规范群的幺正表示 —— 即内部对称的变换,始终在时频平移的时空背景下进行;
T是时空对称群(描述粒子在时空中的运动对称),基本力的规范群是内部对称群(描述粒子的内部性质对称,如色、味、电荷),二者是粒子对称群的两个正交子群,共同构成: 粒子完整对称群=时空对称群(T×SO(3,1))×内部规范群(SU(3)×SU(2)×U(1))
时频平移群T=Tt(1)⊗Tω(1)与单域频域平移群Tω(1)(及时域平移群Tt(1))为直积母群 - 正规子群关系。单域频域平移群:频域动量守恒对应的对称群为一维平移群Tω(1),群元UP(x)=exp(ℏiPx),生成元为动量算符P,卡西米尔不变量为动量P,是阿贝尔李群;时频平移群:二阶张量积空间H不变量对应的对称群为时频平移群T=Tt(1)⊗Tω(1)(Tt(1)为时域能量守恒平移群),群元U(t,ω)=exp(ℏiHt)⊗exp(ℏiPx),生成元为二阶张量算符H⊗P,卡西米尔不变量为全局拓扑不变量i∑∫Pidqi≃∫Hdt,是双参数阿贝尔李群。
T是时空平移群T(4)的量子时频表示,而T(4)与洛伦兹群SO(3,1)共同构成庞加莱群Po(3,1)=T(4)⋊SO(3,1)(时空的完整对称群)。
T本质是闵可夫斯基时空的「时间 + 空间平移群」,T(4)=T(1)×T(3)的一维时频投影(前文T=Tt(1)⊗Tω(1)是其量子力学表示),而T(4)是标准模型最基础的时空对称群(庞加莱群的子群)。
| 基本力 | 核心对应群(规范群) | 群的类型 | 传播玻色子 | 作用范围 / 强度 |
|---|---|---|---|---|
| 强相互作用 | SU(3)C(色对称) | 非阿贝尔李群 | 胶子(8 种) | 短程 / 最强 |
| 弱相互作用 | SU(2)L(左手味) | 非阿贝尔李群 | 、玻色子 | 短程 / 次强 |
| 电磁相互作用 | U(1)EM(电荷) | 阿贝尔李群 | 光子 | 长程 / 次弱 |
| 引力相互作用 | SO(3,1)(洛伦兹)/ 广义相对论微分同胚群 | 非阿贝尔李群 | 引力子(假设) | 长程 / 最弱 |
注:标准模型的电弱统一群为SU(2)L×U(1)Y,自发对称破缺后分解为SU(2)L×U(1)EM;引力的群描述尚未量子化,经典层面为广义相对论的微分同胚群(时空流形的对称群),其线性近似为洛伦兹群SO(3,1)。
时频平移群T是所有标准模型粒子的「时空基本对称群」,是粒子运动的底层对称;辛群Sp(2,R)是T的经典几何泛化群,是粒子「正则运动(经典层面)」的对称群,二者均为标准模型时空对称群的子群 / 基础群,不直接对应粒子的内部对称(如味、色对称)。

群 - 粒子 - 基本力 对应表:
| 关联群类 | 具体群标识 | 群核心属性 | 对应研究对象 | 核心物理关联与意义 |
|---|---|---|---|---|
| 时空基础对称群(量子) | 时频平移群T=Tt(1)⊗Tω(1) | 阿贝尔李群、Sp(2,R)正规子群、庞加莱群子群 | 标准模型所有粒子 + 四大基本力 | 1. 粒子量子运动 / 所有力作用的普适时空对称群;2. 诺特定理导出能量 / 动量守恒(所有过程普适);3. 粒子量子态演化的幺正表示群 |
| 经典正则对称群 | 辛群Sp(2,R) | 非阿贝尔李群、经典实李群、保辛变换 | 标准模型所有粒子 + 四大基本力 | 1. 粒子经典运动 / 所有力经典表述的几何对称群;2. 时频平移群T的经典几何底层;3. 约束正则对偶(位置 - 动量 / 时间 - 能量)变换不变 |
| 强相互作用规范群 | SU(3)C(色对称) | 非阿贝尔李群、特殊酉群 | 强相互作用 + 夸克 / 胶子 | 1. 描述夸克间强相互作用的核心内部对称群;2. 生成元对应 8 种胶子;3. 作用规律满足时频平移不变、经典保辛变换 |
| 弱相互作用规范群 | SU(2)L(左手味对称) | 非阿贝尔李群、特殊酉群 | 弱相互作用 + 轻子 / 夸克 | 1. 描述轻子 / 夸克弱衰变的核心内部对称群;2. 生成元对应、玻色子;3. 仅作用于左手征粒子,与U(1)Y构成电弱统一群 |
| 电磁相互作用规范群 | U(1)EM(电荷对称) | 阿贝尔李群、酉群 | 电磁相互作用 + 所有带电粒子 | 1. 描述带电粒子电磁作用的核心内部对称群;2. 生成元对应光子;3. U(1)Y自发对称破缺的剩余群,长程力 |
| 电弱统一规范群 | SU(2)L×U(1)Y(味 - 超荷对称) | 非阿贝尔直积李群(整体) | 电弱相互作用 + 所有轻子 / 夸克 | 1. 电磁 / 弱相互作用的统一内部对称群;2. 经希格斯机制自发对称破缺为SU(2)L×U(1)EM |
| 标准模型整体规范群 | SU(3)C×SU(2)L×U(1)Y | 非阿贝尔直积李群(整体) | 强 + 电弱相互作用 + 除引力外所有粒子 | 1. 描述强、电弱相互作用的统一内部对称群;2. 与时空群正交独立,共同构成粒子完整对称群 |
| 引力时空对称群 | SO(3,1)(洛伦兹群)/ 微分同胚群 | 非阿贝尔李群、时空流形对称 | 引力相互作用 + 所有粒子 | 1. 经典引力核心对称群,微分同胚群为广义相对论底层,SO(3,1)为线性近似;2. 与时空平移群构成庞加莱群,是时空完整对称群;3. 量子引力暂无公认规范群 |
| 时空完整对称群 | 庞加莱群Po(3,1)=T(4)⋊SO(3,1) | 非阿贝尔半直积李群、时空全域对称 | 所有粒子 + 四大基本力 | 1. 时空平移 + 洛伦兹变换的统一群,T(4)包含时频平移群T;2. 所有粒子 / 力的时空背景对称群,与规范群直积成粒子完整对称群 |
粒子完整对称群:

总庞加莱群标准模型整体规范群,时频平移群T⊂T(4),可等价嵌入参与运算;
运算本质:时空群(含T)与规范群为正交独立子群,直积时群元各自运算、互不干涉,时空变换不影响粒子内部属性,内部规范变换不改变时空位置;
辛群定位:不参与量子层面群的直积运算,仅为时空平移群(含T)提供经典几何底层,约束所有粒子 / 力的经典变换满足保辛形式。

时频平移群T的对偶本质,时域平移 ↔ 频域相移构成对偶二阶空间:时域⟷频域,t⟷ω,H⟷τ,P⟷x
时频平移群所刻画的不变性,是线性时不变系统的核心不变性。反之,线性时不变(LTI)系统所对应的时域平移群,是时频平移群 T(时间平移 + 频率平移)的子群。
LTI 系统 = 时域平移群不变的线性系统
因为LTI 只要求对时间平移不变,不要求对频率平移不变。时频平移群 ⊃ 时间平移群,时频平移对称是比 LTI 更强的条件。LTI 只等价于时间平移对称,不等价于完整时频平移对称。
时频平移群 ⇒ LTI 系统的守恒量 / 不变特征;
LTI 系统的守恒量 / 不变特征 ⇒ 时域平移群(不含频域平移群)
线性时不变(LTI)系统的对称群为阿贝尔李群 → 时域平移群 ,单域 LTI 系统(纯时域)对应一维单参数平移群T(1)
①纯时域 LTI 系统 ⇌ 时域平移群Tt(1) ⊂ 时频平移群 T
群元(时间平移幺正算符):UH(τ)=exp(ℏiHτ),τ为时间平移量,H为哈密顿算符(生成元);
核心性质:满足平移群的阿贝尔交换律UH(τ1)UH(τ2)=UH(τ1+τ2),对应时间平移对称性,守恒量为能量H;
LTI 本质:时域平移下系统响应不变,特征解为exp(ℏiHt)。
②纯频域 LTI 系统 ⇌ 频域平移群Tω(1)
群元(频域 / 动量平移幺正算符):UP(x)=exp(ℏiPx),x为空间平移量,P为动量算符(生成元);
核心性质:阿贝尔交换律UP(x1)UP(x2)=UP(x1+x2),对应空间平移对称性,守恒量为动量P;
LTI 本质:频域 / 空间平移下系统响应不变,特征解为exp(ℏiPx)。
③时频联合 LTI 系统 ⇌ 时频平移群T=Tt(1)⊗Tω(1)
群元(时频联合平移幺正算符):U(t,ω)=UH(τ)⊗UP(x)=exp(ℏiHt)⊗exp(ℏiPω);
生成元:二阶张量算符H⊗P(能量算符与动量算符的张量积);
核心性质:双参数阿贝尔李群,群运算满足(U1⊗V1)⋅(U2⊗V2)=(U1U2)⊗(V1V2);
LTI 本质:时频联合平移下系统响应不变,特征解为时频联合谱基exp(ℏiHt)⊗exp(ℏiPω),对应时频对偶的联合守恒。
卷积定理(时域卷积=频域乘积)解释为群表示论中的对角化过程(在平移群的基底下,算子是对角的),这是理解傅里叶变换和LTI系统最本质的数学真理。
LTI 系统 单域平移群Tt(1)是时频平移群T=Tt(1)⊗Tω(1)的直积子群,纯时域LTI 系统是时频联合时频平移群系统的截面特例;时频平移群T是辛群Sp(2,R)的正规阿贝尔子群(T◃Sp(2,R));辛群是时频平移群的泛化、是 LTI 系统对称群的泛化,辛群不仅包含平移、还包含时频旋转、缩放等保辛变换。
Archiver|手机版|科学网 ( 京ICP备07017567号-12 )
GMT+8, 2026-4-23 06:44
Powered by ScienceNet.cn
Copyright © 2007- 中国科学报社