liuzhiming69的个人博客分享 http://blog.sciencenet.cn/u/liuzhiming69

博文

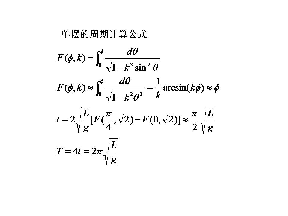
单摆的周期计算公式

已有 227 次阅读 2025-10-11 16:10 |系统分类:科研笔记

演示文稿1.jpg



https://blog.sciencenet.cn/blog-3556836-1505544.html

上一篇:单摆的运动时间
下一篇:单摆的周期计算增强版推导
收藏 IP: 121.28.181.*| 热度|

1 王涛

该博文允许注册用户评论 请点击登录 评论 (0 个评论)

数据加载中...

Archiver|手机版|科学网 ( 京ICP备07017567号-12 )

GMT+8, 2025-11-11 06:27

Powered by ScienceNet.cn

Copyright © 2007- 中国科学报社

返回顶部