Scientia Agricultura Sinica分享 http://blog.sciencenet.cn/u/SAS

博文

中国农业科学 | 黑龙江八一农垦大学联合江苏省农科院粮作所探析耐盐南粳品种苗期盐胁迫应答的生理特性及其耐盐相关基因的表达

已有 1439 次阅读 2025-8-19 10:55 |个人分类:论文|系统分类:论文交流

中国农业科学 | 黑龙江八一农垦大学联合江苏省农科院粮作所探析耐盐南粳品种苗期盐胁迫应答的生理特性及其耐盐相关基因的表达水平

土壤盐渍化是土壤中水溶性盐不断积累导致土壤功能退化或丧失的现象,中国是受土壤盐渍化较为严重的国家,盐碱地总面积达9 913万hm2,广泛分布在华东、东北、华北、西北等地区。水稻是对盐分中度敏感的作物,盐胁迫下会出现多种生理变化,包括根系发育受损、叶片卷曲黄化、分蘖数减少、生物量下降、植株高度缩短和千粒重减轻等,最终导致产量降低甚至死亡。发展耐盐碱水稻是粮食增产的关键方法之一,筛选耐盐水稻品种并解析其耐盐机制对于提高盐碱地综合利用效率和保障粮食安全具有重要意义。

近期,黑龙江八一农垦大学农学院联合江苏省农业科学院粮食作物研究所/国家耐盐碱水稻技术创新中心题为耐盐南粳品种苗期盐胁迫应答的生理特性及其耐盐相关基因分析”的研究《中国农业科学》2025年第58卷12期正式发表。

图片

首先对南粳系列优质水稻品种(系)的苗期耐盐性进行鉴定,以盐处理条件下的存活率作为指标,筛选耐盐性强的品种。分析其在盐胁迫下的生理指标变化,包括叶绿素、Na+、K+、MDA、H2O2、可溶性糖等含量。通过基因组测序解析强耐盐性品种中耐盐基因的变异类型,以及通过检测耐盐基因的表达水平,解析强耐盐品种响应盐胁迫的分子机制。

在140 mmol·L-1 NaCl处理6 d条件下,南粳9108、南粳5718、南粳盐1号的存活率大于60%,在供试品种中的存活率最高。与对照品种日本晴相比,盐胁迫下,南粳9108、南粳5718、南粳盐1号幼苗含有较高的叶绿素含量、较低的MDA含量,表明盐胁迫对这3个品种造成的细胞损伤较低。

图片

南粳系列品种苗期耐盐性鉴定

南粳9108、南粳5718和南粳盐1号的根系Na+/K+明显高于日本晴,而地上部Na+/K+明显低于日本晴,表明这3个耐盐品种根系吸收或者储存的Na+较多,但向上运输的Na+少,有利于维持细胞离子平衡,对地上部造成的离子毒害和渗透胁迫影响较小。

图片

盐胁迫对水稻幼苗根系和地上部Na+、K+含量及Na+/K+值的影响

这3个耐盐品种有23个耐盐基因存在94个SNP或InDel位点,分布于外显子、内含子、5′UTR和3′UTR,11个基因的24个变异位点发生在外显子上,其中,有7个基因发生移码突变或错义突变,分布于Os02g0813500(OsGR2)、Os05g0343400(OsWRKY53)、Os06g0685700(OsRST1)、Os07g0685700(OsEIL2)、Os10g0431000(OsPQT3)、Os11g0446000(OsRSS3)、Os12g0150200(P450)。

图片

南粳9108、南粳5718和南粳盐1号品种耐盐基因外显子变异位点 

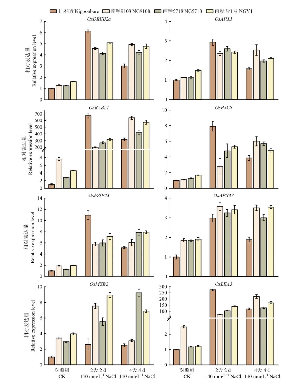
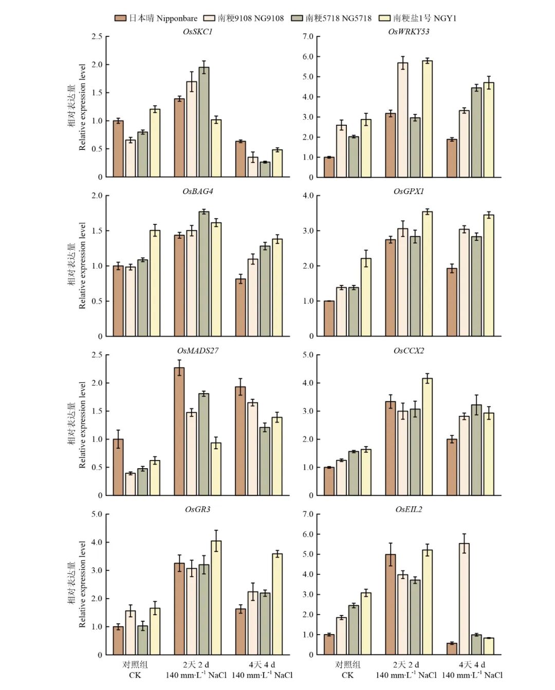
盐胁迫显著诱导耐盐品种中耐盐基因OsSKC1OsBAG4OsGPX1OsCCX2OsGR3OsDREB2aOsRAB21OsP5CSOsbZIP23OsAPX37OsLEA3等的表达,可增强水稻对盐胁迫的耐受性,减少盐害对水稻生长的不利影响。

图片

南粳9108、南粳5718和南粳盐1号中发生变异的耐盐基因的表达水平

图片

南粳9108、南粳5718和南粳盐1号中盐胁迫响应基因表达水平

综上,南粳9108、南粳5718和南粳盐1号3个品种具有较强的苗期耐盐性,这与盐胁迫下的钠钾离子平衡、多个耐盐基因的等位变异、基因表达水平等密切相关。南粳9108、南粳5718和南粳盐1号聚合了多个耐盐优质基因,可作为耐盐品种选育的骨干亲本进行遗传改良和育种应用研究。

黑龙江八一农垦大学农学院邓立成为该文第一作者,黑龙江八一农垦大学农学院赵长江教授江苏省农业科学院粮食作物研究所路凯副研究员为共同通信作者。

该研究获得国家重点研发计划(2023YFD1200900)、江苏省重点研发计划(BE2023355)的资助。

全文链接:

耐盐南粳品种苗期盐胁迫应答的生理特性及其耐盐相关基因分析

文献引用:

邓立成, 李程, 赫磊, 安红强, 王才林, 张亚东, 赵长江, 路凯. 耐盐南粳品种苗期盐胁迫应答的生理特性及其耐盐相关基因分析[J]. 中国农业科学, 2025, 58(12): 2275-2290.

DENG LiCheng, LI Cheng, HE Lei, AN HongQiang, WANG CaiLin, ZHANG YaDong, ZHAO ChangJiang, LU Kai. Physiological Characteristics in Response to Salt Stress and Allelic Variation and Expression of Salt-Responsive Genes in Seedling Stage of Nangeng Rice Varieties with Salt-Tolerance Ability[J]. Scientia Agricultura Sinica, 2025, 58(12): 2275-2290.



https://blog.sciencenet.cn/blog-3581686-1498258.html

上一篇:《中国农业科学》2025-15期目录
下一篇:中国农业科学 | 山西农大棉花所马燕斌课题组 抗虫与耐草甘膦转基因棉花株系的抗性评价与遗传稳定分析
收藏 IP: 175.169.163.*| 热度|

0

该博文允许注册用户评论 请点击登录 评论 (0 个评论)

数据加载中...

Archiver|手机版|科学网 ( 京ICP备07017567号-12 )

GMT+8, 2025-12-21 05:38

Powered by ScienceNet.cn

Copyright © 2007- 中国科学报社

返回顶部